Boundary Potential Problem- parallel alternating potential

Click For Summary
SUMMARY

The discussion focuses on solving the 2D Laplace equation for potential, specifically the equation $$\Delta \phi = -\frac{\rho}{\epsilon} = 0$$ within a rectangular domain defined by the coordinates 0 PREREQUISITES

  • Understanding of Laplace's equation in electrostatics
  • Familiarity with 2D coordinate systems
  • Knowledge of boundary conditions in potential problems
  • Basic concepts of electrostatics and charge density
NEXT STEPS
  • Study methods for solving Laplace's equation in different geometries
  • Explore techniques for applying boundary conditions in potential problems
  • Learn about periodic boundary conditions and their applications
  • Investigate numerical methods for solving partial differential equations
USEFUL FOR

Physicists, electrical engineers, and students studying electrostatics or mathematical physics who are interested in solving boundary potential problems using Laplace's equation.

ebru
Messages
3
Reaction score
0
Homework Statement
Hello,
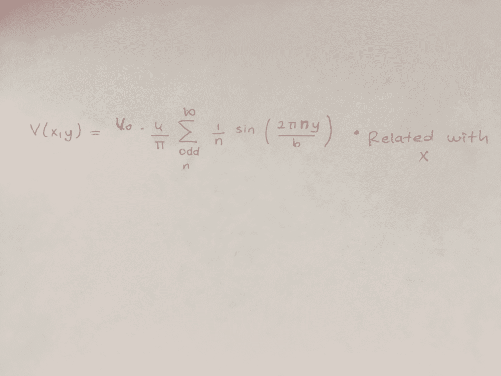
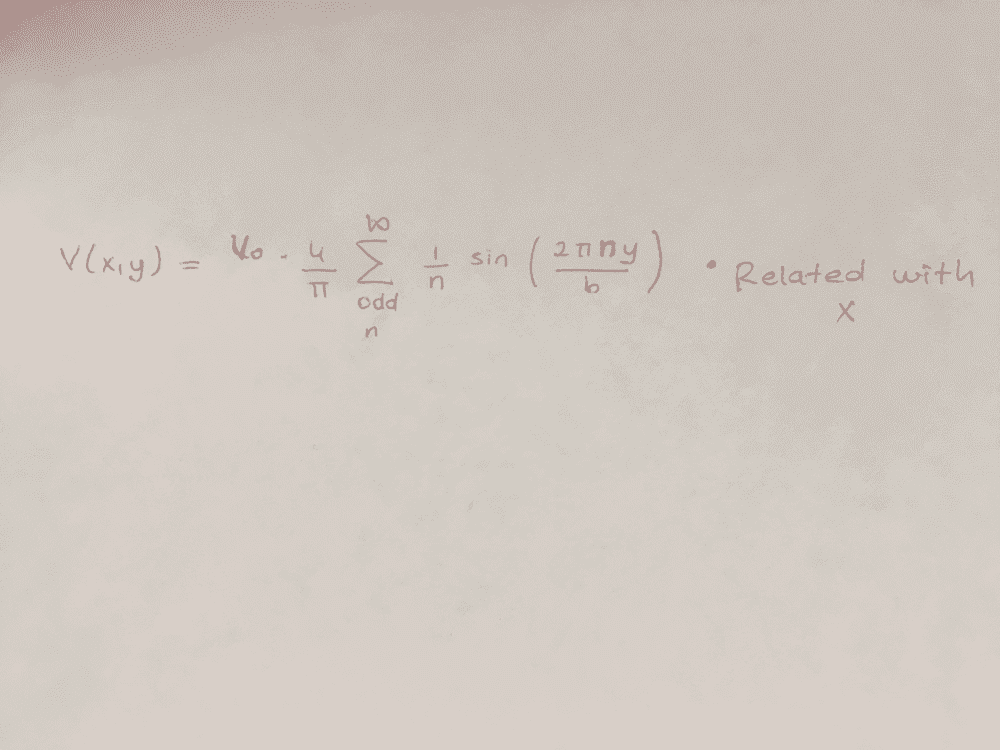
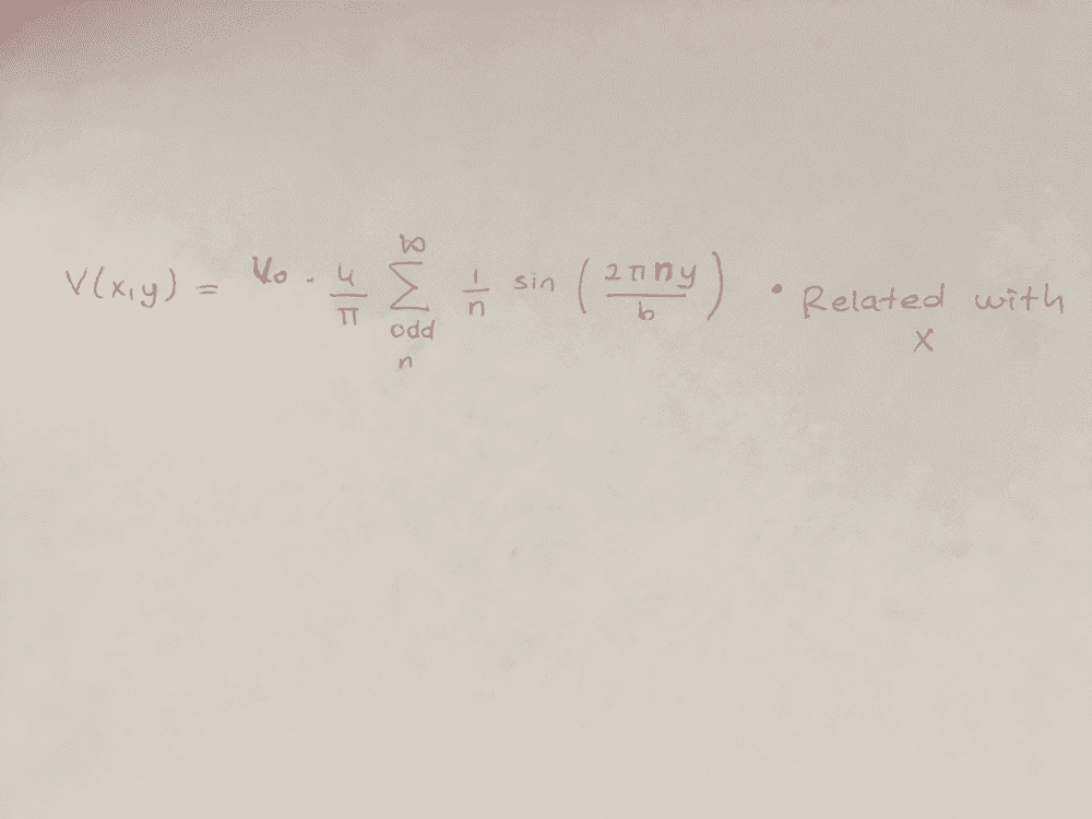
I have a question about the potential. I think the potential shoul be something like below. In that way periodic behavior work perfectly. But I don't know how to add the x variable to the equation.
Relevant Equations
So how can I find potential?
1571844917625.png


1571845223091.png
 

Attachments

  • 1571845220641.png
    1571845220641.png
    90 KB · Views: 236
Physics news on Phys.org
Well this amounts to solving a Laplace equation for potential, right?
$$\Delta \phi = -\frac{\rho}{\epsilon} = 0$$
I would solve this 2D Laplace equation for a rectangle defined by ##0<x<a## and ##0<y<b##. Then once you have the potential inside that rectangle, you would periodically extend it over ##y##. I assume you're familiar with this equation since you're asking this kind of a question, if you're not, I can give you some introduction to it in the next post.
 

Similar threads

  • · Replies 1 ·
Replies
1
Views
1K
  • · Replies 1 ·
Replies
1
Views
2K
  • · Replies 4 ·
Replies
4
Views
2K
Replies
2
Views
3K
  • · Replies 19 ·
Replies
19
Views
4K
  • · Replies 12 ·
Replies
12
Views
2K
  • · Replies 1 ·
Replies
1
Views
1K
Replies
2
Views
2K
Replies
5
Views
3K
  • · Replies 1 ·
Replies
1
Views
1K