Discontinuity of normal component of E field crossing boundary

Click For Summary

Homework Help Overview

The discussion revolves around the derivation of the discontinuity of the normal component of the electric field when crossing a boundary, utilizing Gauss's law. Participants are examining the behavior of the electric field vectors above and below the boundary and the implications of their directions on the derived equations.

Discussion Character

  • Conceptual clarification, Assumption checking

Approaches and Questions Raised

  • Participants are questioning the assumption that the electric fields above and below the boundary point in the same direction and exploring the consequences if they point in different directions. There is a focus on the application of Gauss's law and the interpretation of the resulting equations.

Discussion Status

The discussion is active, with participants offering insights into the implications of the electric field directions and the resulting surface charge density. Some participants express confusion regarding the signs of the electric field components and their relationship to the derived boundary conditions, while others clarify these relationships without reaching a consensus.

Contextual Notes

Participants are navigating the complexities of vector directions and their effects on the equations derived from Gauss's law. There is an emphasis on understanding the conventions used in the derivation and the implications of different assumptions about the electric field directions.

lys04
Messages
144
Reaction score
5
Homework Statement
Derivation of discontinuity of normal component of electric field when crossing a boundary using Gauss’s law.
Relevant Equations
Gauss’s law
Why in this derivation both the perpendicular electric field immediately above and below the boundary are pointing upwards? Why do we make this assumption and would it work if they are pointing in different directions?
 

Attachments

  • IMG_1369.png
    IMG_1369.png
    35.3 KB · Views: 50
Physics news on Phys.org
lys04 said:
Homework Statement: Derivation of discontinuity of normal component of electric field when crossing a boundary using Gauss’s law.
Relevant Equations: Gauss’s law

Why in this derivation both the perpendicular electric field immediately above and below the boundary are pointing upwards? Why do we make this assumption and would it work if they are pointing in different directions?
The arrows do not indicate any assumption about which way the field acts. They are there to show which way is being taken as positive. Without that, you would not know how to write the equations.
 
@lys04, just in case it is not yet clear….

##E^{\perp}_{above}## and ##E^{\perp}_{below}## are (vertical ) components of the field, with the convention that upwards is positive.

If ##\sigma## is positive then ##E^{\perp}_{above} > 0## and ##E^{\perp}_{below}< 0##. In this case ##E^{\perp}_{above} - E^{\perp}_{below} \ne 0## so we have a discontinuity,

Similarly if ##\sigma## is negative.

If ##\sigma = 0## but there is an external field present, then ##E^{\perp}_{above} = E^{\perp}_{below}## so there is no discontinuity. (##E^{\perp}_{above}## and ##E^{\perp}_{below}## are then both positive or both negative depending on the direction of the external field's vertical component.)
 
lys04 said:
Why in this derivation both the perpendicular electric field immediately above and below the boundary are pointing upwards? Why do we make this assumption and would it work if they are pointing in different directions?
OK, let's assume that the electric field above and below the surface is represented by vectors ##~\mathbf E_{\text{above}}## and ##~\mathbf E_{\text{below}}.## We assume no specific direction for either of these fields.

Gauss's law applied to the pillbox shown in the figure says $$\int_S\mathbf E\cdot \mathbf{\hat n}~dA=\frac{q_{\text{encl.}}}{\epsilon_0}$$ where ##\mathbf{\hat n}## is the outward normal. When the height of the pillbox is shrunk to zero, the contributions from the sides vanish and only the contributions from the top and bottom count. This means that $$\mathbf E_{\text{above}}\cdot \mathbf {\hat n}_{\text{above}}dA+\mathbf E_{\text{below}}\cdot \mathbf {\hat n}_{\text{below}}dA=\frac{q_{\text{encl.}}}{\epsilon_0}$$Now the two outward normals point in opposite directions. Let ##~\mathbf {\hat n}_{\text{below}}=-\mathbf {\hat n}_{\text{above}}=-\mathbf {\hat z}.## Then $$(\mathbf E_{\text{above}}-\mathbf E_{\text{below}})\cdot \mathbf {\hat z}=\frac{q_{\text{encl.}}}{\epsilon_0~dA}=\frac{\sigma}{\epsilon_0}.$$ We can simplify this even more by defining scalar components, which could be positive or negative, $$ E_{\text{above}}\cdot \mathbf {\hat z}\equiv E_{\text{above}}^{\perp}~;~~~ E_{\text{below}}\cdot \mathbf {\hat z}\equiv E_{\text{below}}^{\perp}$$in which case we get the boundary condition of the book $$E_{\text{above}}^{\perp}-E_{\text{below}}^{\perp}=\frac{\sigma}{\epsilon_0}.$$Note that, as stated earlier, these z-components can be positive or negative. If one has to show them in a picture, one has to pick a direction. In this case the artist picked them both positive.

The important point to note, and that is why I went through this derivation, is that there is a relative negative sign between the two scalar components regardless of whether they are positive or negative. This means that, if the normal components have opposite signs, the surface charge density has greater magnitude than if they have the same sign. This makes eminent sense in terms of Gauss's law. If electric field lines come out of (or go in from) both the top and the bottom there must be more charge density than if electric field lines come in from the bottom and go out the top, which is what is shown in the picture.
 
Last edited:
  • Like
Likes   Reactions: lys04
kuruman said:
OK, let's assume that the electric field above and below the surface is represented by vectors ##~\mathbf E_{\text{above}}## and ##~\mathbf E_{\text{below}}.## We assume no specific direction for either of these fields.

Gauss's law applied to the pillbox shown in the figure says $$\int_S\mathbf E\cdot \mathbf{\hat n}~dA=\frac{q_{\text{encl.}}}{\epsilon_0}$$ where ##\mathbf{\hat n}## is the outward normal. When the height of the pillbox is shrunk to zero, the contributions from the sides vanish and only the contributions from the top and bottom count. This means that $$\mathbf E_{\text{above}}\cdot \mathbf {\hat n}_{\text{above}}dA+\mathbf E_{\text{below}}\cdot \mathbf {\hat n}_{\text{below}}dA=\frac{q_{\text{encl.}}}{\epsilon_0}$$Now the two outward normals point in opposite directions. Let ##~\mathbf {\hat n}_{\text{below}}=-\mathbf {\hat n}_{\text{above}}=-\mathbf {\hat z}.## Then $$(\mathbf E_{\text{above}}-\mathbf E_{\text{below}})\cdot \mathbf {\hat z}=\frac{q_{\text{encl.}}}{\epsilon_0~dA}=\frac{\sigma}{\epsilon_0}.$$ We can simplify this even more by defining scalar components, which could be positive or negative, $$ E_{\text{above}}\cdot \mathbf {\hat z}\equiv E_{\text{above}}^{\perp}~;~~~ E_{\text{below}}\cdot \mathbf {\hat z}\equiv E_{\text{below}}^{\perp}$$in which case we get the boundary condition of the book $$E_{\text{above}}^{\perp}-E_{\text{below}}^{\perp}=\frac{\sigma}{\epsilon_0}.$$Note that, as stated earlier, these z-components can be positive or negative. If one has to show them in a picture, one has to pick a direction. In this case the artist picked them both positive.

The important point to note, and that is why I went through this derivation, is that there is a relative negative sign between the two scalar components regardless of whether they are positive or negative. This means that, if the normal components have opposite signs, the surface charge density has greater magnitude than if they have the same sign. This makes eminent sense in terms of Gauss's law. If electric field lines come out of (or go in from) both the top and the bottom there must be more charge density than if electric field lines come in from the bottom and go out the top, which is what is shown in the picture.
Great answer, that cleared all my confusion.
Thanks a lot Kuruman!!
I think where my confusion comes from was I was picking directions for the electric fields which resulted in my final expression having different signs and thinking that the derived equation in the image had both E_above, perp and E_below, perp all being positive which is wrong and they can actually be positive OR negative depending on the dot product.
 
  • Like
Likes   Reactions: kuruman
lys04 said:
Great answer, that cleared all my confusion.
Thanks a lot Kuruman!!
I think where my confusion comes from was I was picking directions for the electric fields which resulted in my final expression having different signs and thinking that the derived equation in the image had both E_above, perp and E_below, perp all being positive which is wrong and they can actually be positive OR negative depending on the dot product.
Oh wait actually what if the electric field above is pointing generally in the positive z direction and the electric field below is generally pointing in the negative z direction?
Then from line three,
$$(\vec{E}_{above}-\vec{E}_{below}) \cdot \hat{\mathbf z}=(E_{above} \hat{\mathbf z} - E_{below} (-\hat{\mathbf z})) \cdot \hat{\mathbf z} = (E_{above, perpendicular} + E_{below, perpendicular})$$? Then there is no relative negative sign here, idk what I’m doing wrong
 
Then, quite simply, the predicted surface charge density at the boundary is $$\sigma=\epsilon_0\left(E_{\text{above}}^{\perp}+E_{\text{below}}^{\perp}\right).$$You have a problem with that? The boundary condition says that the discontinuity in the normal component of the electric field across a boundary is the surface charge density at the boundary divided by ##\epsilon_0##. If you know one, you can find the other. Please reread the last paragraph in post #5.

BTW, in ##\LaTeX## \perp inserts the "perpendicular" symbol ##\perp## and \parallel inserts the ##\parallel## symbol (not needed here.)
 
  • Like
Likes   Reactions: SammyS
kuruman said:
Then, quite simply, the predicted surface charge density at the boundary is σ=ϵ0(Eabove⊥+Ebelow⊥).You have a problem with that? The boundary condition says that the discontinuity in the normal component of the electric field across a boundary is the surface charge density at the boundary divided by ϵ0. If you know one, you can find the other. Please reread the last paragraph in post #5.
Oh? But in post #5 last paragraph you said “
there is a relative negative sign between the two scalar components regardless of whether they are positive or negative.” Which is why I got confused because I thought ##E_{above, \perp}## and ##E_{below,\perp}## always have different signs
 
  • #10
lys04 said:
Oh? But in post #5 last paragraph you said “
there is a relative negative sign between the two scalar components regardless of whether they are positive or negative.” Which is why I got confused because I thought ##E_{above, \perp}## and ##E_{below,\perp}## always have different signs
You are still confused. In order to unconfuse yourself, I devised a little exercise to do at your leisure. When you are done, please post your answers with justification for each so that I can evaluate your performance.

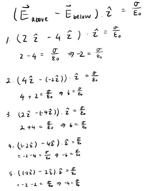
Exercise
Below are five cases (A)-(E) of two regions of space separated by a surface. The magnitude and direction of the electric field in each region is as shown. Find a numerical value for the quantity ##\sigma/\epsilon_0## in each case.
E Boundary condition.png
 
  • #11
here are the answers
 

Attachments

  • IMG_1378.jpeg
    IMG_1378.jpeg
    22.2 KB · Views: 57
  • #12
lys04 said:
here are the answers
I tink you got it now. Do you have more questions?
 
  • #13
kuruman said:
I tink you got it now. Do you have more questions?
I think I’m good, thanks a lot
 

Similar threads

Replies
2
Views
3K
  • · Replies 4 ·
Replies
4
Views
2K
  • · Replies 6 ·
Replies
6
Views
3K
  • · Replies 1 ·
Replies
1
Views
2K
  • · Replies 1 ·
Replies
1
Views
3K
Replies
5
Views
3K
  • · Replies 12 ·
Replies
12
Views
1K
  • · Replies 7 ·
Replies
7
Views
4K
  • · Replies 7 ·
Replies
7
Views
2K
Replies
1
Views
2K