Calculate the exact or approximate length of one period of the wave function

Click For Summary

Discussion Overview

The discussion revolves around calculating the length of one period of a wave function, specifically focusing on the mathematical formulation and integration involved in determining this length. Participants explore both exact and approximate methods, considering the influence of amplitude and wave number in their calculations.

Discussion Character

  • Technical explanation
  • Mathematical reasoning
  • Debate/contested

Main Points Raised

  • One participant presents the mathematical definition of arc length and expresses difficulty in calculating the integral for the length of a sinusoidal wave, suggesting that the amplitude and wave number should be included in the final result.
  • Another participant asserts that the period depends on the wave number k and shares a plot illustrating the relationship between curve length and amplitude while keeping k constant.
  • There is a request for the exact mathematical expression for the arc length, with some participants referencing elliptic integrals as part of the solution.
  • Multiple participants inquire about the mathematical procedures and expressions leading to the final result, indicating a desire for clarity on the integration process.
  • One participant questions the significance of the value 3.2 mentioned in relation to the arc length when the amplitude is zero.
  • Another participant provides a detailed mathematical formulation for the arc length, involving elliptic integrals, and notes that these integrals cannot be solved analytically.

Areas of Agreement / Disagreement

Participants express varying degrees of understanding and clarity regarding the mathematical procedures involved. While some agree on the use of elliptic integrals, there is no consensus on the exact expressions or the implications of certain values mentioned in the discussion.

Contextual Notes

Participants highlight the complexity of the integral calculations and the dependence on parameters such as amplitude and wave number. The discussion includes references to both complete and incomplete elliptic integrals, indicating that the mathematical steps may not be fully resolved.

Ennio
Messages
26
Reaction score
2
TL;DR
exact or approximated calculation of the sinusoidal length in one period [0,2π] or corresponding to [0,λ] including the amplitude of the wave A as well as the wave number k.
The known expression of the wave function is
1661075477524.png

where A is the amplitude, k the wave number and ω the angular velocity.

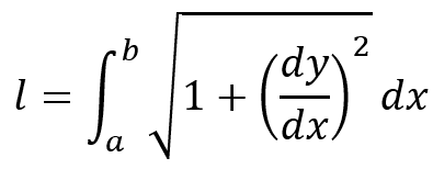
The mathematical definition of arc length for a generical function in an interval [a,b] is
1661075371288.png

where, in our sinusoidal case:
1661075513650.png

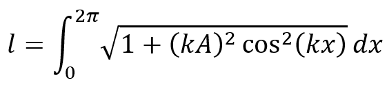
For our purpose (calculation of the length in one period [0,2π] corresponding to [0,λ]), I guess that we can remove the ωt term from the expression, so that
1661075656085.png

Now, I am really struggling to calculate this integral. There are some instances in internet where mathematicians calculated the length of half period [0,π] of a sinusoidal wave as
1661076000938.png

which accordingly implies
1661076069849.png

The fact is that I want to include the amplitude of the wave and the wave number by means the term
1661076151322.png
as well as the wave number alone in the cos argument
1661076201548.png
in the main integral, as shown previously.

WolframAlpha and SymboLab calculates a solution involving complicated ellpitical integrals . Could you please help me in finding the right way to calculate the integral? An approximated solution would be also appreciated. The main requirement is the amplitude A and the wave number k are considered in the derivation and in the finalr result. Eventually, l has to be funtion of A and k in the final result.

Thank you in advance for your precious support.

E.
 
Physics news on Phys.org
The period depends on ##k##, should be pretty straightforward to figure out the ##k##-dependence for the curve lenght.

Here is a plot I made for curve length with dependence of the amplitude ##A## keeping ##k=1##.
1661107922163.png


What is wrong with elliptic integrals btw?
 
Last edited:
malawi_glenn said:
The period depends on ##k##, should be pretty straightforward to figure out the ##k##-dependence for the curve lenght.

Here is a plot I made for curve length with dependence of the amplitude ##A## keeping ##k=1##.
View attachment 313085

What is wrong with elliptic integrals btw?
Hi malawi_glenn. Thank you for your answer. However, what is the exact mathematical expression for the result? From your graph: if the amplitude is zero then the arc length is 3.2?
 
Ennio said:
what is the exact mathematical expression for the result
Something with Elliptical functions ;)

Ennio said:
From your graph: if the amplitude is zero then the arc length is 3.2?
Why should it be 3.2?
 
  • Like
Likes   Reactions: PeroK
It would be nice if you could share the mathematical procedure to get to the final result. Otherwise, thanks for your partial help.
 
Ennio said:
It would be nice if you could share the mathematical procedure to get to the final result. Otherwise, thanks for your partial help.
And it would be nice if you could answer my questions. There are tons of information regarding approximations for elliptic integrals. Also it depends on what your application you are going to use this.

btw, is this homework?
 
The arclength for a single period is [tex] \begin{split}<br /> \int_0^{2\pi/k} \sqrt{1 + (kA)^2\cos^2(kx)}\,dx &= 4\int_0^{\pi/(2k)} \sqrt{1 + (kA)^2\cos^2(kx)}\,dx\qquad\mbox{(by symmetry)} \\<br /> &= 4 \sqrt{1 + (kA)^2} \int_{0}^{\pi/(2k)} \sqrt{1 - \frac{(kA)^2}{1 + (kA)^2}\sin^2(kx)}\,dx \\<br /> &= \frac{4 \sqrt{1 + (kA)^2}}{k} \int_{0}^{\pi/2} \sqrt{1 - \frac{(kA)^2}{1 + (kA)^2}\sin^2(u)}\,du \\<br /> &= \frac{4 \sqrt{1 + (kA)^2}}{k}E\left(\frac{kA}{\sqrt{1 + (kA)^2}}\right)\end{split}[/tex] where [itex]E(y)[/itex] is the complete elliptic integral of the second kind, which is one of those definite integrals which comes up everywhere in applications but cannot be done analytically, so we give it a name and tabulate its values numerically.

The arclength over a fraction of a quarter period can be reduced to an incomplete elliptic integral of the second kind in a similar manner: [tex] \int_0^{\alpha\pi/(2k)} \sqrt{1 + (kA)^2\cos^2(kx)}\,dx = \frac{\sqrt{1 + (kA)^2}}{k}E\left(\frac{\alpha\pi}{2}, \frac{kA}{\sqrt{1 + (kA)^2}}\right),\qquad 0 \leq \alpha \leq 1[/tex]
 
Last edited:
  • Like
Likes   Reactions: Ennio, dextercioby and malawi_glenn
pasmith said:
The arclength for a single period is [tex] \begin{split}<br /> \int_0^{2\pi/k} \sqrt{1 + (kA)^2\cos^2(kx)}\,dx &= 4\int_0^{\pi/(2k)} \sqrt{1 + (kA)^2\cos^2(kx)}\,dx\qquad\mbox{(by symmetry)} \\<br /> &= 4 \sqrt{1 + (kA)^2} \int_{0}^{\pi/(2k)} \sqrt{1 - \frac{(kA)^2}{1 + (kA)^2}\sin^2(kx)}\,dx \\<br /> &= \frac{4 \sqrt{1 + (kA)^2}}{k} \int_{0}^{\pi/2} \sqrt{1 - \frac{(kA)^2}{1 + (kA)^2}\sin^2(u)}\,du \\<br /> &= \frac{4 \sqrt{1 + (kA)^2}}{k}E\left(\frac{kA}{\sqrt{1 + (kA)^2}}\right)\end{split}[/tex] where [itex]E(y)[/itex] is the complete elliptic integral of the second kind, which is one of those definite integrals which comes up everywhere in applications but cannot be done analytically, so we give it a name and tabulate its values numerically.

The arclength over a fraction of a quarter period can be reduced to an incomplete elliptic integral of the second kind in a similar manner: [tex] \int_0^{\alpha\pi/(2k)} \sqrt{1 + (kA)^2\cos^2(kx)}\,dx = \frac{\sqrt{1 + (kA)^2}}{k}E\left(\frac{\alpha\pi}{2}, \frac{kA}{\sqrt{1 + (kA)^2}}\right),\qquad 0 \leq \alpha \leq 1[/tex]
great answer!
 

Similar threads

  • · Replies 2 ·
Replies
2
Views
2K
  • · Replies 2 ·
Replies
2
Views
2K
  • · Replies 1 ·
Replies
1
Views
1K
  • · Replies 1 ·
Replies
1
Views
2K
  • · Replies 4 ·
Replies
4
Views
1K
  • · Replies 10 ·
Replies
10
Views
2K
  • · Replies 10 ·
Replies
10
Views
3K
  • · Replies 4 ·
Replies
4
Views
2K
  • · Replies 2 ·
Replies
2
Views
2K
  • · Replies 2 ·
Replies
2
Views
2K