Calculate the magnitude of the net force on each charge

Click For Summary
SUMMARY

The discussion centers on calculating the net force on four positive charges, each valued at 1.0 x 10^-25 C, arranged at the corners of a rhombus with 1.0 m sides. The relevant equation for this calculation is F = Kq1q2/r^2, where K is the Coulomb's constant. Participants emphasize the importance of resolving forces into their x and y components to determine the net force acting on each charge accurately.

PREREQUISITES
  • Understanding of Coulomb's Law and its application in electrostatics
  • Familiarity with vector resolution techniques
  • Basic knowledge of geometry, specifically properties of rhombuses
  • Proficiency in algebra for manipulating equations
NEXT STEPS
  • Study the principles of vector addition in physics
  • Learn about Coulomb's constant and its significance in electrostatic calculations
  • Explore examples of force calculations involving multiple charges
  • Investigate the effects of charge placement on net force outcomes
USEFUL FOR

This discussion is beneficial for physics students, educators, and anyone interested in electrostatics and force calculations involving multiple charged objects.

jasonbans
Messages
45
Reaction score
0

Homework Statement


Four objects, each with a positive charge of 1.0 3 1025 C,
are placed at the corners of a 45° rhombus with sides of
length 1.0 m, as in Figure 13. Calculate the magnitude of
the net force on each charge.


Homework Equations


F = Kq1q2/r^2


The Attempt at a Solution

 

Attachments

  • physics picture.png
    physics picture.png
    2 KB · Views: 861
Physics news on Phys.org
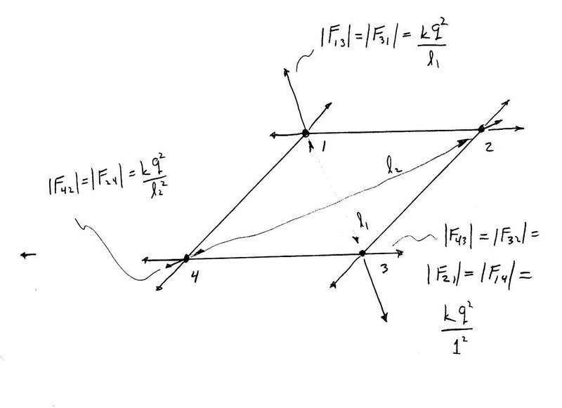
Does this get you started?
 

Attachments

  • aaaaa120.jpg
    aaaaa120.jpg
    18.1 KB · Views: 1,184
Spinnor said:
Does this get you started?

yes, thank you I was thinking of something like this.
All I got to do now is do find the component of x and y
 

Similar threads

Replies
17
Views
3K
Replies
4
Views
2K
  • · Replies 6 ·
Replies
6
Views
1K
  • · Replies 9 ·
Replies
9
Views
3K
  • · Replies 4 ·
Replies
4
Views
7K
  • · Replies 1 ·
Replies
1
Views
2K
  • · Replies 21 ·
Replies
21
Views
3K
  • · Replies 5 ·
Replies
5
Views
3K
  • · Replies 15 ·
Replies
15
Views
5K
Replies
3
Views
2K