Calculating Frame Speed with Relativity and Rocket Events

  • Thread starter Thread starter tony873004
  • Start date Start date
  • Tags Tags
    Relativity Rocket
Click For Summary

Homework Help Overview

The discussion revolves around a problem in special relativity involving two rockets, each with a rest length of 100 meters. The scenario describes the relative motion of the rockets and the events that occur as one rocket passes the other, with a focus on calculating the speed of one frame relative to another using the concept of length contraction.

Discussion Character

  • Exploratory, Assumption checking, Mathematical reasoning

Approaches and Questions Raised

  • Participants explore the implications of length contraction on the distance used in calculations. Questions arise about how to express the contracted length in terms of the unknown speed V. There is also discussion about the algebraic manipulation of equations related to speed and length contraction.

Discussion Status

Participants are actively engaging with the problem, sharing their attempts at algebraic solutions and questioning the validity of their approaches. Some guidance has been provided regarding the relationship between length contraction and the speed of the rockets, but no consensus has been reached on the correctness of the methods used.

Contextual Notes

There are indications of confusion regarding the algebraic steps taken in the calculations, with participants noting discrepancies in results obtained through different methods. The discussion highlights the complexity of handling relativistic effects and the potential for algebraic errors in calculations.

tony873004
Science Advisor
Gold Member
Messages
1,753
Reaction score
143
Relativity -- rocket problems

Homework Statement


Consider two rockets, each of rest length 100 meters. Rocket 1 is at rest in frame S and has its nose at x=0 and its tail at x=+100 meters. Rocket 2 is at rest in frame S’ and has its nose at x’=0 and its tail at x’=
-100 meters.

Now suppose that frame S’ moves with speed V in the x+ direction relative to frame S.

Event A: The nose of Rocket 2 passes the nose of Rocket 1 at time tA = t'A = 0

Event B: The tail of Rocket 2 passes the nose of Rocket 1 at time tB = 2.5 microseconds in frame S.


Use the information about event B to calculate the speed V of S’ relative to S.

Homework Equations



v=d/t

[tex]L = \frac{{L_0 }}{\gamma } = L_0 \sqrt {1 - \frac{{v^2 }}{{c^2 }}}[/tex]

[tex]T = T_0 \gamma = \frac{{T_0 }}{{\sqrt {1 - \frac{{v^2 }}{{c^2 }}} }}[/tex]

The Attempt at a Solution



v=100m / 2.5 microseconds = 40*106 m/s

What doesn't make sense to me is that I used 100 m for d, yet there should be length contraction. So shouldn't I be using a different d? But how do I get that d if I don't know V?
 
Physics news on Phys.org


tony873004 said:
What doesn't make sense to me is that I used 100 m for d, yet there should be length contraction.
Yes, there should be length contraction.
So shouldn't I be using a different d? But how do I get that d if I don't know V?
You won't be able to get the numerical value of d until you've solved for V, but you can certainly write the length contracted distance in terms of V and thus use it to solve for V.
 


Thanks. I'm still confused though.

The length contracted distance in terms of V is

[tex] L = \frac{{L_0 }}{\gamma } = L_0 \sqrt {1 - \frac{{v^2 }}{{c^2 }}} [/tex]

and v is
[tex]v = c\sqrt {\left( {1 - \left( {\frac{L}{{L_0 }}} \right)^2 } \right)}[/tex]

So if I substitute the first formula into the 2nd, I get

[tex] \begin{array}{l}<br /> v = c\sqrt {1 - \,\left( {\frac{{\sqrt {1 - \frac{{v^2 }}{{c^2 }}} }}{{}}} \right)^2 } \,\,\,\, \Rightarrow \,\,\,\,\frac{v}{c} = \sqrt {1 - \,\left( {\sqrt {1 - \frac{{v^2 }}{{c^2 }}} } \right)^2 } \,\,\,\, \Rightarrow \,\,\,\, \\ <br /> \\ <br /> \,\frac{v}{c} = \sqrt {1 - \,\left( {1 - \frac{{v^2 }}{{c^2 }}} \right)} \,\,\, \Rightarrow \,\,\,\,\,\,\,\left( {\frac{v}{c}} \right)^2 - 1 = - \,\left( {1 - \frac{{v^2 }}{{c^2 }}} \right)\,\,\,\, \Rightarrow \,\,\,\,\,\, \\ <br /> \\ <br /> \,1 - \left( {\frac{v}{c}} \right)^2 = \,1 - \frac{{v^2 }}{{c^2 }}\,\,\,\, \Rightarrow \,\,\,\,\,\,\,\,\,\,\,\frac{v}{c} = \frac{v}{c} \\ <br /> \end{array}[/tex]
 


tony873004 said:
Thanks. I'm still confused though.

The length contracted distance in terms of V is

[tex] L = \frac{{L_0 }}{\gamma } = L_0 \sqrt {1 - \frac{{v^2 }}{{c^2 }}} [/tex]

and v is
[tex]v = c\sqrt {\left( {1 - \left( {\frac{L}{{L_0 }}} \right)^2 } \right)}[/tex]

So if I substitute the first formula into the 2nd, I get

[tex] \begin{array}{l}<br /> v = c\sqrt {1 - \,\left( {\frac{{\sqrt {1 - \frac{{v^2 }}{{c^2 }}} }}{{}}} \right)^2 } \,\,\,\, \Rightarrow \,\,\,\,\frac{v}{c} = \sqrt {1 - \,\left( {\sqrt {1 - \frac{{v^2 }}{{c^2 }}} } \right)^2 } \,\,\,\, \Rightarrow \,\,\,\, \\ <br /> \\ <br /> \,\frac{v}{c} = \sqrt {1 - \,\left( {1 - \frac{{v^2 }}{{c^2 }}} \right)} \,\,\, \Rightarrow \,\,\,\,\,\,\,\left( {\frac{v}{c}} \right)^2 - 1 = - \,\left( {1 - \frac{{v^2 }}{{c^2 }}} \right)\,\,\,\, \Rightarrow \,\,\,\,\,\, \\ <br /> \\ <br /> \,1 - \left( {\frac{v}{c}} \right)^2 = \,1 - \frac{{v^2 }}{{c^2 }}\,\,\,\, \Rightarrow \,\,\,\,\,\,\,\,\,\,\,\frac{v}{c} = \frac{v}{c} \\ <br /> \end{array}[/tex]

Your first and second formulas represent the exact same relationship, so its no wonder you're not getting any new information about V. But you actually know two pieces of information here:

(1) The second rocket undergoes length contraction as seen in S:

[tex]L=L_0 \sqrt{1-\frac{V^2}{c^2}}[/tex]

AND

(2) The rocket is moved a distance of [tex]L[/tex] in S, in a time [tex]{\Delta}t=2.5 \mu s[/tex], while traveling at a speed [tex]V[/tex]:

[tex]V=\frac{L}{{\Delta}t}[/tex]
 


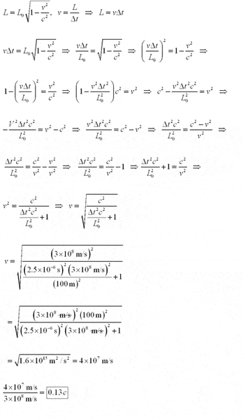
Thanks. I think I got it. It's more algebra than I though it would be. Can someone double-check that I did this right?

rel1.gif
 


tony873004 said:
Thanks. I think I got it. It's more algebra than I though it would be. Can someone double-check that I did this right?

It's correct,although you seemed to be going in circle with your algebra for a little while there...it would have been easier for you to collect the terms that had V^2 on one side of the equation and the rest of it on the other right from the end of your second line of calcs...it probably would have saved you 3 lines or so of algebra.
 


You're right. It saved me 3 lines. Thanks!... More relativity q's tommorow...
 


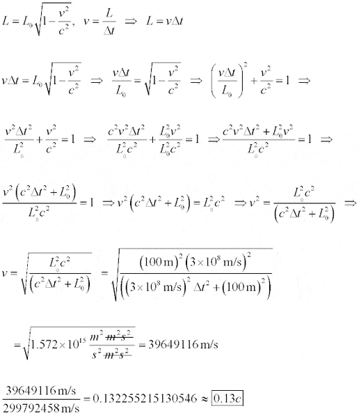
New problem...
I get a different answer when I do the algebra the way you recommend.

rel2.gif


I'm recomputing the answers using a more exact value for c:

first method:
sqr(299792458^2*100^2/((2.5e-6)^2*299792458^2+1)) = 39999964.3952457

second method:
sqr((100^2*(299792458)^2) / ((299792458)^2*(2.5e-6)^2+100^2) ) = 39648636.4200608

Assuming the first answer is correct, I can now compute the length of the rocket as viewed from frame S:

100 * sqr(1-39999964.3952457^2 / 299792458^2) = 99.1058843255855

Assuming the second answer is correct,
100 * sqr(1-39648636.4200608^2 / 299792458^2) = 99.1215910501519

In each case, the rocket contracts by about 0.9 meters, but the answers are different enough that it worries me.

And as a check, using these numbers to compute velocity, which was given in the problem as 2.5 microseconds:


First method:
99.1058843255855 / 39999964.3952457 = 2.47764931354201E-06

Second method:
99.1215910501519 / 39648636.4200608 = 0.0000025

I'm guessing that this implies that the 2nd method is correct, since I get back the exact value of the given time. But that would mean that I must have made a mistake in the algebra of the 1st method, although I can't find my error. Usually algebra errors give answers that are way off, not nearly-identical.
 


tony873004 said:
First method:
99.1058843255855 / 39999964.3952457 = 2.47764931354201E-06

Second method:
99.1215910501519 / 39648636.4200608 = 0.0000025

I'm guessing that this implies that the 2nd method is correct, since I get back the exact value of the given time. But that would mean that I must have made a mistake in the algebra of the 1st method, although I can't find my error. Usually algebra errors give answers that are way off, not nearly-identical.

There is a slight error on your first calculation; when going from line 7 to line 8, you didn't multiply the 1 in the denominator by (100m)^2...It didn't affect your final answer much though because the first term in the denominator works out to be 1.875 X 10^7 m^2 which is much bigger than the 10^4 m^2 term. This is why it's usually best not to play around too much algebraically, there are more places to make an error.
 
  • #10


Thanks. No matter how many times I stared at that, I just couldn't see it. It's obvious now that you point it out.
 

Similar threads

  • · Replies 5 ·
Replies
5
Views
3K
  • · Replies 17 ·
Replies
17
Views
3K
  • · Replies 8 ·
Replies
8
Views
2K
Replies
10
Views
3K
  • · Replies 1 ·
Replies
1
Views
2K
  • · Replies 1 ·
Replies
1
Views
1K
  • · Replies 38 ·
2
Replies
38
Views
5K
  • · Replies 13 ·
Replies
13
Views
5K
  • · Replies 1 ·
Replies
1
Views
2K
  • · Replies 7 ·
Replies
7
Views
4K