Calculating Solutions for Second-Order Differential Equations

  • Context: Graduate 
  • Thread starter Thread starter luckis11
  • Start date Start date
Click For Summary

Discussion Overview

The discussion revolves around solving a specific second-order differential equation, f’’(t)=GM/((Α-f(t))^2, and the general methods for approaching second-order differential equations. Participants explore various methods of integration, express their preferences for answers versus methods, and share experiences with computational tools like Wolfram Alpha and Mathematica.

Discussion Character

  • Debate/contested
  • Technical explanation
  • Mathematical reasoning

Main Points Raised

  • Some participants suggest integrating twice with respect to t to find r(t), while others argue that this is not straightforward due to the dependency of the right-hand side on r.
  • One participant expresses a desire for a direct answer rather than a method, prompting others to emphasize the importance of understanding the solution process.
  • There is a proposal that the solution can be expressed implicitly in terms of elementary functions, with a specific transformation involving the variable p=y'.
  • Participants discuss the limitations of online calculators like Wolfram Alpha, with one noting discrepancies in the solutions provided over time.
  • Another participant shares a detailed derivation of a particular initial value problem (IVP) and highlights the complexity of the solution, which involves the arctan function.
  • There are requests for links to differential equation calculators, indicating a shared interest in computational tools for solving such equations.

Areas of Agreement / Disagreement

Participants express differing views on the necessity of understanding the method of solution versus simply obtaining an answer. There is no consensus on the best approach to solving the differential equation, and multiple competing views remain regarding the expressibility of the solution.

Contextual Notes

Some participants mention specific initial conditions and transformations, but there are unresolved mathematical steps and assumptions that may affect the overall understanding of the solutions discussed.

Who May Find This Useful

This discussion may be useful for individuals interested in differential equations, mathematical modeling, and the use of computational tools in solving complex mathematical problems.

luckis11
Messages
272
Reaction score
2
My question is the title of the thread.

Sorry, and this one too:
f’’(t)=GM/((Α-f(t))^2
 
Last edited:
Physics news on Phys.org
Integrate twice with respect to t to get r(t).
 
I want the answer, not the method to solve it. Thanks though.
 
Mark44 said:
Integrate twice with respect to t to get r(t).

It's a differential equation, you can't just "integrate twice"! (The right-hand side depends on r).

The solution r(t)=(x(t), y(t), z(t)) is not expressible in terms of elementary functions. What you can do is find the trajectory y=y(x), z=0. (by a suitable choice of the orthonormal basis).
The result is a parabola, an ellipse or an hyperbole, depending on initial conditions. Try googling:

"Motion in central gravitational field"
"Motion of planets"
"Euler's trajectory of a planet"

Etc.
 
luckis11 said:
I want the answer, not the method to solve it. Thanks though.
Why? Knowing an answer without knowing how to get it is useless.
 
I thought you have calculators. You know any free online one except wolframalfa?
 
luckis11 said:
I want the answer, not the method to solve it. Thanks though.
That's not how this forum works. Instead, you show that you have made an effort and we help you with it.
 
I think the solution can be expressed implicitly in terms of elementary functions. It's just the case of independent variable missing so for [itex]y''=-k/y^2[/itex], let [itex]p=y'[/itex] and arrive at:

[tex]p\frac{dp}{dy}=-\frac{k}{y^2}[/tex]

Now the variables can be separated and now you can integrate twice. Hope that's ok to help him this way.
 
Last edited:
Mark44 said:
That's not how this forum works. Instead, you show that you have made an effort and we help you with it.

I hope it is not you contacting them and me mentioning it who is responsible that the wolframalfa is not giving the solution now whereas a couple of days ago it did. There are researchers out there that calculating it by hand is a sheer waste of time and energy.
 
  • #10
No, I have never contacted those folks, and I doubt that it would give you two different answers to the same problem.
 
  • #11
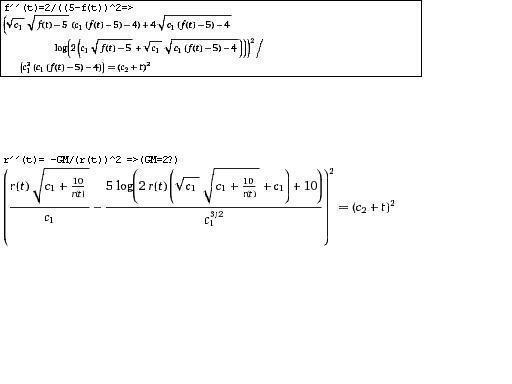
Check the attached file in the present post. It has the wolframalfa solutions it gave me a couple of days ago.

At the case which of f’’(t)=GM/((A-f(t))^2, I entered f’’(t)=2/((5-f(t))^2, The initial conditions are f(0)=0 and f'(0)=0, therefore c1=c2=0. But that solution gives...? (-4)/(-4)=t^2 and no f(t)=...?
Now it gives me the answer again! here it is:
(sqrt(c_1) sqrt(f(t)-5) (c_1 (f(t)-5)-4)+4 sqrt(c_1 (f(t)-5)-4) log(2 (c_1 sqrt(f(t)-5)+sqrt(c_1) sqrt(c_1 (f(t)-5)-4))))^2/(c_1^3 (c_1 (f(t)-5)-4)) = (c_2+t)^2

At the case of r’’(t)=-GM/((r(t))^2, if I remember well I entered GM=2 again. Here
r(0)=A and r'(0)=0, thus c1=c2=A/2. Hm...this seems to have a solution r(t)=... so the first equation is ... impossible?
It still does not give me the answer for this one now.
 

Attachments

  • wolframalfa solutions.JPG
    wolframalfa solutions.JPG
    13.1 KB · Views: 512
Last edited:
  • #12
Wolfram Alpha is only a sub-set of Mathematica. Ver 7, gives:

DSolve[y''[x]==-k/y[x]^2,y,x]

as:

[tex] \begin{aligned}&<br /> \text{Solve}\biggr[\left(-\frac{1}{C[1]^{3/2}}k \text{Log}\left[2 k+2 C[1] y[x]+2 \sqrt{C[1]} \sqrt{C[1]+\frac{2 k}{y[x]}} y[x]\right]+\frac{\sqrt{C[1]+\frac{2 k}{y[x]}} y[x]}{C[1]}\right)^2\right.== \\<br /> &\hspace{200pt}\left.(x+C[2])^2,y[x]\biggr]<br /> \end{aligned}[/tex]

That is, Mathematica is giving the solution as an implicit inverse via the Solve function.
 
  • #13
Can you post the link of that Mathematica dif. eq. calculator?
 
  • #14
That output above is from Mathematica 7 (my copy) which Mathematica expresses in terms of logs I believe it does so to handle all possible cases. However below, a particular IVP is in arctan.

Luckis, as you can see, sometimes the answer is not enough. You still need to understand all the underlying math to really handle it well. Let's look at a simple IVP just for starters:

[tex]y''=-\frac{2}{y^2},\quad y(0)=2,y'(0)=0[/tex]

Letting [itex]p=y'[/itex], I get:

[tex]pdp=-\frac{2}{y^2}dy[/tex]

Now integrate from y(0) to some y(x):

[tex]\int_{p(0)}^{p(x)} pdp=-\int_{y(0)}^{y(x)} \frac{2}{y^2}dy[/tex]

[tex]p^2-p(0)^2=4(1/y-1/2)[/tex]

or:

[tex]\left(\frac{dy}{dx}\right)^2=4(1/y-1/2)[/tex]

taking the square root and integrating again:

[tex]\int_{y(0)}^{y(x)}\frac{dy}{\sqrt{4(1/y-1/2)}}=\pm \int_{x_0}^x xdx[/tex]

doing that integration, making the substitutions and simplifying (the result below is from Mathematica), I get:

[tex]-\frac{\sqrt{-1+\frac{2}{y}} y+\text{ArcTan}\left[\frac{\sqrt{-1+\frac{2}{y}} (-1+y)}{-2+y}\right]}{\sqrt{2}}\biggr|_{2}^{y(x)}=\pm x[/tex]

which in this case, it's in the form of arctan and note it's improper at the lower limit so I take it's limit at that value and obtain [itex]\frac{\pi}{2\sqrt{2}}[/itex]. Now, I can take either the plus or minus value. Here, I'll take the positive value because that's what agrees with the numerical calculations (below) and I get for the final answer:

[tex]\left(\frac{\sqrt{-1+\frac{2}{y}} y+\text{ArcTan}\left[\frac{\sqrt{-1+\frac{2}{y}} (-1+y)}{-2+y}\right]}{\sqrt{2}}\right)+\frac{\pi }{2 \text{Sqrt}[2]}=x[/tex]

and that's still not too bad because it's easy to generate a table of (x,y) values and compare to the numerical results. In the plot below, the analytical solution is depicted as dots along the numerical one:
Code:
mysol = NDSolve[{Derivative[2][y][x] == -2/y[x]^2, y[0] == 2, 
    Derivative[1][y][0] == 0}, y, {x, 0, 2}]

lowy = N[y[1] /. mysol]

mytable = Table[
   {(Sqrt[-1 + 2/y]*y + ArcTan[(Sqrt[-1 + 2/y]*(-1 + y))/
         (-2 + y)])/Sqrt[2] + Pi/(2*Sqrt[2]), y}, 
   {y, lowy[[1]], 2, 0.01}]

lp1 = ListPlot[mytable]

pp1 = Plot[y[x] /. mysol, {x, 0, 2}]

Show[{pp1, lp1}]

Edit: I think I may have a problem with signs above. Probably need to go over that but I'll leave a careful check of it to the interested reader.
 

Attachments

  • de5.jpg
    de5.jpg
    6.6 KB · Views: 463
Last edited:
  • #15
Can you post the link of that Mathematica dif. eq. calculator? Private message will do fine.
 

Similar threads

  • · Replies 24 ·
Replies
24
Views
4K
  • · Replies 2 ·
Replies
2
Views
3K
  • · Replies 2 ·
Replies
2
Views
4K
  • · Replies 0 ·
Replies
0
Views
4K
  • · Replies 5 ·
Replies
5
Views
4K
  • · Replies 2 ·
Replies
2
Views
3K
  • · Replies 3 ·
Replies
3
Views
3K
  • · Replies 1 ·
Replies
1
Views
4K
  • · Replies 7 ·
Replies
7
Views
4K
  • · Replies 4 ·
Replies
4
Views
3K