Lejas90210
- 2
- 0
<Moderator's note: Member has been warned to show some effort before an answer can be given.>
Hello all.
This is my first post in this forum, I am asking for your understanding. I have a problem with the calculus task and I stuck in a dead endso I managed to find a solution on the internet. I am not sure whether it is done correctly. My main questions are:
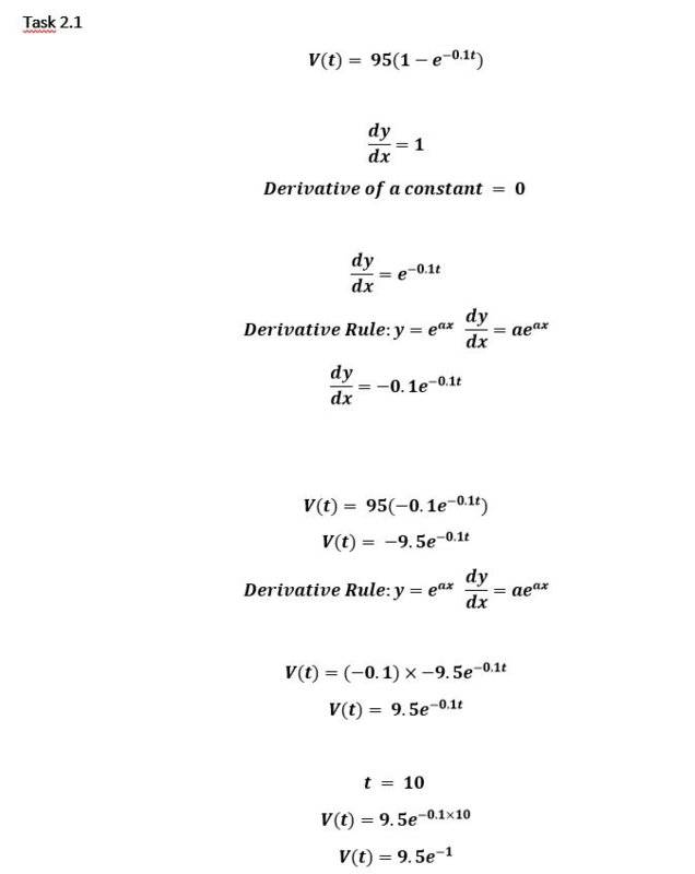
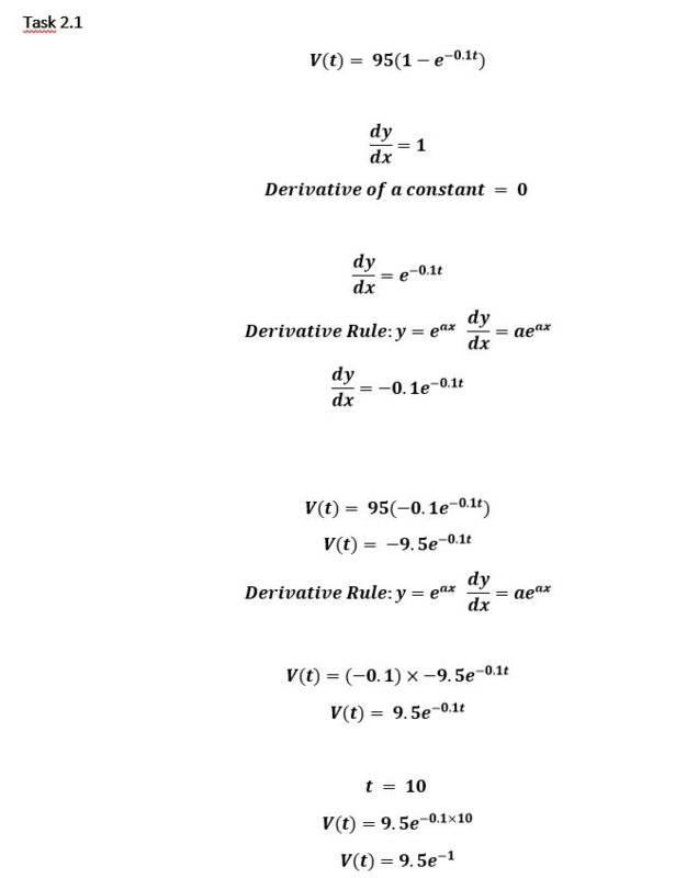
1.) Why 9.5 * e ^ -1 = 3.495?
2.) Are the values in the table correct? What is the dependence between those values.
3.) If in response to t = 10, -> V (t) = 3.495 and in the table for t = 10 there is value: 60.05 V?
Hello all.
This is my first post in this forum, I am asking for your understanding. I have a problem with the calculus task and I stuck in a dead endso I managed to find a solution on the internet. I am not sure whether it is done correctly. My main questions are:
1.) Why 9.5 * e ^ -1 = 3.495?
2.) Are the values in the table correct? What is the dependence between those values.
3.) If in response to t = 10, -> V (t) = 3.495 and in the table for t = 10 there is value: 60.05 V?
Attachments
Last edited by a moderator:
