Can the Laplace equation be used to solve for y⁴?

  • Context: Undergrad 
  • Thread starter Thread starter avi89
  • Start date Start date
  • Tags Tags
    Laplace
Click For Summary

Discussion Overview

The discussion revolves around the application of the Laplace transform to the expression y⁴, specifically whether it can be used to solve for this term. Participants explore the implications of using the Laplace transform in this context, including the need for initial conditions and the nature of the term in question.

Discussion Character

  • Technical explanation, Debate/contested, Conceptual clarification

Main Points Raised

  • One participant requests help with applying the Laplace transform to y⁴, indicating a lack of understanding of the process.
  • Another participant mentions the general formula for the Laplace transform of the nth derivative, suggesting that it may be relevant to the discussion.
  • It is noted that initial conditions, specifically y"(0) and y'''(0), are necessary to apply the derivative formula for the Laplace transform.
  • Some participants express confusion, clarifying that y⁴ refers to the power of y, not the fourth derivative, which complicates the application of the Laplace transform.
  • Concerns are raised about using the Laplace transform for y⁴, with one participant suggesting it would lead to convolution integrals.
  • A participant proposes that the expression might be a typographical error for y'', which would change the problem to solving a linear second-order ODE.
  • Another participant asserts that since y⁴ is a non-linear term and the Laplace transform is a linear operator, an ODE involving y⁴ may not have a solution using the Laplace method.

Areas of Agreement / Disagreement

Participants express uncertainty regarding the appropriateness of using the Laplace transform for y⁴, with some suggesting it may not be suitable due to its non-linear nature. There is no consensus on whether the expression is correctly stated or if it contains a typographical error.

Contextual Notes

Participants highlight the need for initial conditions to apply the Laplace transform effectively, and there is ambiguity regarding the interpretation of y⁴ versus its derivatives.

avi89
Messages
3
Reaction score
0
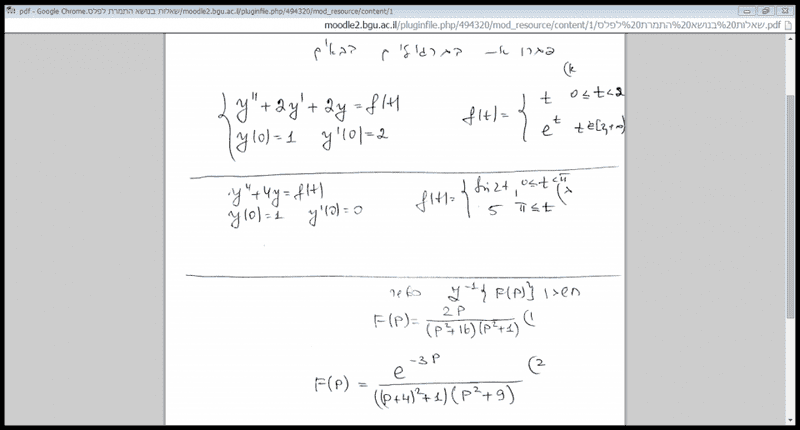
hi , i was asked to solved this but i have no idea how to laplace y^4, can anyone please help?

its the question in the middle

ב.png
 
Physics news on Phys.org
Do you know the general formula for the Laplace transform of the nth derivative?
 
avi89 said:
hi , i was asked to solved this but i have no idea how to laplace y^4, can anyone please help?

its the question in the middle

View attachment 84987
If you look at a table of Laplace transforms, like the one attached to this article:

https://en.wikipedia.org/?title=Laplace_transform

You'll see a formula for finding the first or second derivative, f' and f", for example. Look below to the entry for "general differentiation" and f(n), and you'll see a formula for LT for finding higher-order derivatives.

In your case, n = 4, but you appear to be missing some initial conditions necessary to apply the formula, namely y"(0) and y'''(0).
 
this is what i was thinking! some initial conditions are missing to use the derivative forumula, so maybe there's another way to solve.
also, notice that this is not the 4th derivative of y, but power(y,4) .. it got me confused
 
Why would you use the laplace transform to solve equations involving ## y^4 ## ? You will just get a lot of convolution integrals.
 
avi89 said:
this is what i was thinking! some initial conditions are missing to use the derivative forumula, so maybe there's another way to solve.
also, notice that this is not the 4th derivative of y, but power(y,4) .. it got me confused

Are you sure it isn't a badly-written [itex]y''[/itex]? That would make it a question of solving a linear 2nd-order ODE subject to the two given initial conditions.
 
aww god, i think you're right!
sighh
 
There's a difference between the 4th derivative of y (y'''') and y⁴. Since this latter is a non-linear term and being the Laplace a linear operator, I'm afraid an ODE involving y⁴ has no solution by the Laplace method. It seems to me that your problem has a typographical error.
 

Similar threads

  • · Replies 5 ·
Replies
5
Views
3K
  • · Replies 4 ·
Replies
4
Views
2K
  • · Replies 19 ·
Replies
19
Views
3K
  • · Replies 22 ·
Replies
22
Views
4K
  • · Replies 6 ·
Replies
6
Views
3K
  • · Replies 3 ·
Replies
3
Views
2K
  • · Replies 10 ·
Replies
10
Views
4K
Replies
3
Views
3K
  • · Replies 6 ·
Replies
6
Views
3K
  • · Replies 5 ·
Replies
5
Views
4K