Solving a differential equation using Laplace transform

Click For Summary

Discussion Overview

The discussion revolves around the possibility of solving a nonlinear differential equation using the Laplace transform. Participants explore the implications of the equation's nonlinearity and consider substitutions to facilitate the solution process.

Discussion Character

  • Exploratory
  • Technical explanation
  • Debate/contested
  • Mathematical reasoning

Main Points Raised

  • One participant questions whether the Laplace transform can be applied to nonlinear differential equations, expressing doubt about proceeding with the given equation.
  • Another participant notes that the original ODE is nonlinear in the unknown y.
  • A suggestion is made to use the substitution u = y^{1/2} to reduce the ODE to a form that could potentially be solved using Laplace transforms.
  • Further discussion reveals uncertainty about the new equation remaining nonlinear and the applicability of the Laplace transform to it.
  • One participant acknowledges a misunderstanding regarding the representation of derivatives and seeks further guidance on how to proceed.
  • A later reply indicates that the substitution leads to a linear differential equation, which could be solved using Laplace transforms, although simpler techniques may be available.
  • Ultimately, one participant claims to have solved the equation and argues against the assertion that nonlinear differential equations cannot be solved using Laplace transforms.

Areas of Agreement / Disagreement

Participants express differing views on the applicability of the Laplace transform to nonlinear differential equations. While some suggest it may not be suitable, others propose methods to work around the nonlinearity, leading to unresolved questions about the generality of the claims.

Contextual Notes

The discussion includes limitations related to the assumptions about the applicability of the Laplace transform, the nature of the substitutions made, and the representation of derivatives, which remain unresolved.

PainterGuy
Messages
938
Reaction score
73
TL;DR
What is the criteria for a given differential equation to be solvable using Laplace transform?
Hi,

I was trying to see if the following differential equation could be solved using Laplace transform; its solution is y=x^4/16.

246097


You can see below that I'm not able to proceed because I don't know the Laplace pair of xy^(1/2).

246098


Is it possible to solve the above equation using Laplace transform? In my opinion, I don't think so.

Thank you.
 
Physics news on Phys.org
Your ODE is nonlinear in the unknown ##y##.
 
  • Like
Likes   Reactions: PainterGuy
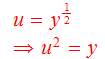
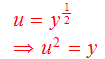
In this case, the substitution [itex]u = y^{1/2}[/itex] will reduce the ODE to one which can be solved by Laplace transforms.
 
  • Like
Likes   Reactions: PainterGuy
Thank you for your help!

S.G. Janssens said:
Your ODE is nonlinear in the unknown ##y##.

Is it okay to assume that Laplace transform cannot be used with nonlinear differential equations? The answer given here, https://www.quora.com/Can-you-determine-the-Laplace-Transform-of-a-non-linear-differential-equation , agrees to some extent.

pasmith said:
In this case, the substitution [itex]u = y^{1/2}[/itex] will reduce the ODE to one which can be solved by Laplace transforms.

I'm not sure if I'm following you correctly.

246135


The equation reduces to

246136


The new equation is still nonlinear and I can't see a way to apply Laplace transform to it.

I understand that what I wrote above is wrong because "dx" should be represented in term of "dy"; something like this du²/dy. I don't know how to proceed with it. Could you please guide me? Thank you!
 
PainterGuy said:
Thank you for your help!
Is it okay to assume that Laplace transform cannot be used with nonlinear differential equations? The answer given here, https://www.quora.com/Can-you-determine-the-Laplace-Transform-of-a-non-linear-differential-equation , agrees to some extent.
I'm not sure if I'm following you correctly.

View attachment 246135

The equation reduces to

View attachment 246136

The new equation is still nonlinear and I can't see a way to apply Laplace transform to it.

I understand that what I wrote above is wrong because "dx" should be represented in term of "dy"; something like this du²/dy. I don't know how to proceed with it. Could you please guide me? Thank you!
But ##\frac{du^2}{dx} = \frac{du^2}{du}\frac{du}{dx} = 2u\frac{du}{dx}## using the chain rule. This leads to a very simple, linear DE that you can use Laplace transforms on if you must, but much simpler techniques can be used.
 
  • Like
Likes   Reactions: PainterGuy
Thank you!

I was able to solve it. So, I'd say that saying that a nonlinear differential equation cannot be solved using Laplace transform is not a correct statement.

?hash=0f31d99a1305010ff8c86b80a7a6cb5f.jpg
Note to self:
"y" is expressed in terms of "u", or as a function of "u". "u" in turn being function of "x". "y" is still a function of "x" but to make things easier we introduced substitution variable, u, and it stands between "y" and "x"; in other words, "y" depends upon "u" and "u" depends upon "x".

y=u^2
dy/dx=dy/du * du/dx
dy/dx=du^2/du * du/dx
 

Attachments

  • diff_laplace_solved.jpg
    diff_laplace_solved.jpg
    22.6 KB · Views: 462

Similar threads

  • · Replies 5 ·
Replies
5
Views
3K
  • · Replies 4 ·
Replies
4
Views
2K
  • · Replies 3 ·
Replies
3
Views
2K
  • · Replies 17 ·
Replies
17
Views
4K
  • · Replies 2 ·
Replies
2
Views
3K
  • · Replies 5 ·
Replies
5
Views
4K
  • · Replies 10 ·
Replies
10
Views
4K
  • · Replies 2 ·
Replies
2
Views
2K
  • · Replies 1 ·
Replies
1
Views
4K
  • · Replies 22 ·
Replies
22
Views
4K