Solving Laplace's equation in polar coordinates for specific boundary conditions

Click For Summary

Discussion Overview

The discussion revolves around solving Laplace's equation in polar coordinates to find the magnetic scalar potential inside and outside a ferromagnetic wire under specific boundary conditions. Participants are exploring the methodology for obtaining solutions and understanding the implications of the boundary conditions.

Discussion Character

  • Exploratory
  • Technical explanation
  • Debate/contested

Main Points Raised

  • Stefan describes his challenge in finding equations for the magnetic scalar potential related to a ferromagnetic wire in an external magnetic field, seeking help to understand the approach outlined by Gerber.
  • One participant suggests obtaining the Fourier series for the derivative of the magnetic potential on the boundary, leading to simultaneous equations that must be satisfied.
  • Another participant questions the necessity of the Fourier series approach, proposing an alternative method of separating variables and applying boundary conditions directly, expressing confusion about the coefficients used in the equations.
  • Clarification is sought regarding the interpretation of coefficients A_n' and A_n'', and whether they represent derivatives or simply coefficients in the context of the equations presented.
  • There is a mention of the unique solution characteristics for the coefficients based on the boundary conditions, particularly emphasizing the significance of the first harmonic term.

Areas of Agreement / Disagreement

Participants express differing views on the necessity and methodology of using Fourier series in this context. Some support the approach while others propose alternative methods, indicating that the discussion remains unresolved.

Contextual Notes

Participants have not reached a consensus on the best approach to solve the problem, and there are unresolved questions regarding the interpretation of mathematical terms and the derivation of equations.

Stefan H
Messages
3
Reaction score
0
TL;DR
Solving Laplace's equation for magnetic potentials inside and outside a ferromagnetic wire with specific boundary conditions. Help needed in understanding how to obtain the solution.
Hello everybody,

Currently I am doing my master's thesis and I've encountered a physics problem which is very difficult for me to solve. The problem I have is finding equations for the magnetic scalar potential inside and outside a ferromagnetic wire for specific boundary conditions.

Explanation of the problem:
A ferromagnetic wire is located in an external magnetic field. This means there is a magnetic potential inside and outside of the wire. I want to find specific solutions on the surface of the wire (r=a).
Geometry of the problem.png


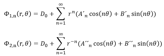
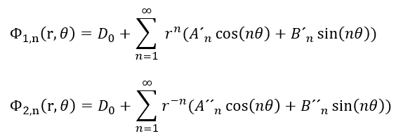
My solution approach was to first solve Laplace's equation for polar coordinates for both magnetic potentials:
1640186034281.png


Now I want to find an expression for both potentials on the surface of the wire to obtain this solution (According to Gerber: "Applied Magnetism", 1994):

Solution of Laplace's equation.png


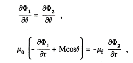
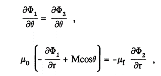
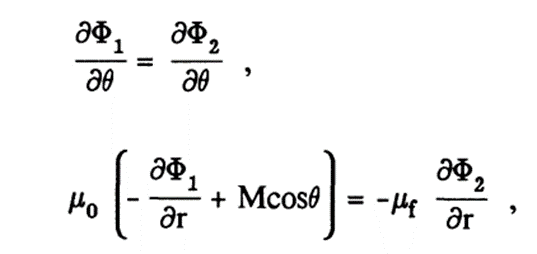
with the given boundary conditions:

1640186289463.png


The next goal would be to determine the constants C1, A1, C2 and A2. However, I really don't get how Gerber came to this type of solution. He only mentioned to use Laplace's equation and the boundary conditions with quote: "linear combination of cylindrical harmonics" to get his solution.

My overall goal is to understand his approach for this kind of problem, so I can apply it to a different geometry. It would be very nice if anybody here could help me out :)

Thanks in advance and happy Holidays,
Stefan
 
Last edited:
Physics news on Phys.org
Stefan H said:
Summary:: Solving Laplace's equation for magnetic potentials inside and outside a ferromagnetic wire with specific boundary conditions. Help needed in understanding how to obtain the solution.

Hello everybody,

Currently I am doing my master's thesis and I've encountered a physics problem which is very difficult for me to solve. The problem I have is finding equations for the magnetic scalar potential inside and outside a ferromagnetic wire for specific boundary conditions.

Explanation of the problem:
A ferromagnetic wire is located in an external magnetic field. This means there is a magnetic potential inside and outside of the wire. I want to find specific solutions on the surface of the wire (r=a).
View attachment 294600

My solution approach was to first solve Laplace's equation for polar coordinates for both magnetic potentials:View attachment 294601

Now I want to find an expression for both potentials on the surface of the wire to obtain this solution (According to Gerber: "Applied Magnetism", 1994):

View attachment 294602

with the given boundary conditions:

View attachment 294603

The next goal would be to determine the constants C1, A1, C2 and A2. However, I really don't get how Gerber came to this type of solution. He only mentioned to use Laplace's equation and the boundary conditions with quote: "linear combination of cylindrical harmonics" to get his solution.

My overall goal is to understand his approach for this kind of problem, so I can apply it to a different geometry. It would be very nice if anybody here could help me out :)

Thanks in advance and happy Holidays,
Stefan

The method is to obtain the Fourier series for [itex]\partial \Phi/\partial r[/itex] on the boundary, and determine the coefficients of [itex]r^{\pm n}\cos(n\theta)[/itex] and [itex]r^{\pm n}\sin(n\theta[/itex] accordingly. In this case that is straightforward: the Fourier series for [itex]\mu_0M\cos\theta[/itex] is [itex]\mu_0M\cos\theta[/itex]. Thus from the boundary conditions you get the following simultaneous equations for [itex]n \geq 1[/itex]: [tex] \begin{split}<br /> A_n' - A_n'' &= 0\\<br /> B_n' - B_n'' &= 0\\<br /> \mu_0A_n' + \mu_fA_n'' &= \begin{cases}<br /> \mu_0M, & n = 1 \\ 0 & n > 1,<br /> \end{cases} \\<br /> \mu_0B_n' + \mu_fB_n'' &= 0<br /> \end{split}[/tex] These have the unique solution [itex]A_n' = A_n'' = 0[/itex] for [itex]n >1[/itex] while [itex]A_1' = A_1''[/itex] is non-zero, with [itex]B_n' = B_n'' = 0[/itex] for all [itex]n[/itex].

Once you become sufficiently familiar with second-order linear ODEs, it will be intuitively obvious that only the [itex]r^{\pm1}\cos\theta[/itex] terms were required here.
 
  • Like
Likes   Reactions: Stefan H
Thank you so much for your answer!

However I still have some questions left:
  1. Why is it necessary to obtain the Fourier series? The way I would proceed on this problem is to form the derivative depending on theta and r separately and put it in the boundary conditions. However, this would just lead to more equations which I don't know how to simplify.
  2. Maybe I put it wrong, but A´n, A´´n, B´n and B´´n are just coefficients. They don't mean the derivative of something. Is the answer still true then?
  3. I sadly don't really understand why the Fourier series of
    1640200589240.png
    is required, how it is obtained and how the following simultaneous equations are obtained. If you could elaborate on that, it would be very helpful.
 
pasmith said:
The method is to obtain the Fourier series for [itex]\partial \Phi/\partial r[/itex] on the boundary, and determine the coefficients of [itex]r^{\pm n}\cos(n\theta)[/itex] and [itex]r^{\pm n}\sin(n\theta[/itex] accordingly. In this case that is straightforward: the Fourier series for [itex]\mu_0M\cos\theta[/itex] is [itex]\mu_0M\cos\theta[/itex]. Thus from the boundary conditions you get the following simultaneous equations for [itex]n \geq 1[/itex]: [tex] \begin{split}<br /> A_n' - A_n'' &= 0\\<br /> B_n' - B_n'' &= 0\\<br /> \mu_0A_n' + \mu_fA_n'' &= \begin{cases}<br /> \mu_0M, & n = 1 \\ 0 & n > 1,<br /> \end{cases} \\<br /> \mu_0B_n' + \mu_fB_n'' &= 0<br /> \end{split}[/tex] These have the unique solution [itex]A_n' = A_n'' = 0[/itex] for [itex]n >1[/itex] while [itex]A_1' = A_1''[/itex] is non-zero, with [itex]B_n' = B_n'' = 0[/itex] for all [itex]n[/itex].

Once you become sufficiently familiar with second-order linear ODEs, it will be intuitively obvious that only the [itex]r^{\pm1}\cos\theta[/itex] terms were required here.
Sorry that I am posting that again, but maybe you didn't see my answer since I did not reply directly to you.

Thank you so much for your answer!

However I still have some questions left:
  1. Why is it necessary to obtain the Fourier series? The way I would proceed on this problem is to form the derivative depending on theta and r separately and put it in the boundary conditions. However, this would just lead to more equations which I don't know how to simplify.
  2. Maybe I put it wrong, but A´n, A´´n, B´n and B´´n are just coefficients. They don't mean the derivative of something. Is the answer still true then?
  3. I sadly don't really understand why the Fourier series of
    1640200589240-png.png

    is required, how it is obtained and how the following simultaneous equations are obtained. If you could elaborate on that, it would be very helpful.
 

Similar threads

  • · Replies 22 ·
Replies
22
Views
4K
  • · Replies 8 ·
Replies
8
Views
4K
  • · Replies 2 ·
Replies
2
Views
3K
  • · Replies 6 ·
Replies
6
Views
3K
  • · Replies 3 ·
Replies
3
Views
4K
  • · Replies 2 ·
Replies
2
Views
2K
  • · Replies 6 ·
Replies
6
Views
2K
  • · Replies 16 ·
Replies
16
Views
3K
  • · Replies 1 ·
Replies
1
Views
3K