Change in energy stored in a spherical Capacitor

Click For Summary
SUMMARY

The discussion centers on the calculation of energy stored in a spherical capacitor. A participant reported that their calculated energy was four times greater than the expected value. The community suggested that the discrepancy likely stemmed from a calculation error and requested the participant to share their substitutions and final answer for further analysis. Ultimately, it was revealed that the expected answer provided was incorrect.

PREREQUISITES
  • Understanding of spherical capacitor formulas
  • Familiarity with energy storage calculations
  • Basic algebra for substitution and solving equations
  • Knowledge of error analysis in mathematical computations
NEXT STEPS
  • Review the formula for energy stored in a spherical capacitor
  • Practice solving energy calculations with varying dielectric materials
  • Learn about common calculation errors in capacitor problems
  • Explore methods for verifying the accuracy of physics calculations
USEFUL FOR

Physics students, electrical engineers, and anyone involved in capacitor design or energy storage calculations will benefit from this discussion.

ssarpal
Messages
7
Reaction score
1
Homework Statement
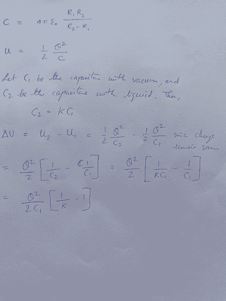
An isolated Capacitor is made of a solid conducting sphere of radius R1 and charge +Q surrounded by a conducting spherical shell of inner radius R2 and charge -Q. Initially, the gap between the sphere and the shell has vacuum. Later it is filled with a liquid which has a dielectric constant, K.

For diagram, refer to Fig 8.6 in Section 8.1 Capacitors and Capacitance of University Physics Vol 2 here ...
https://openstax.org/books/university-physics-volume-2/pages/8-1-capacitors-and-capacitance

By how much does the energy change when the liquid is added? Does it increase or decrease?
Relevant Equations
From the same section of the book, eq 8.4 gives the Capacitance of a sphere,

𝐶 = 𝑄/𝑉 = 4𝜋𝜀0 * 𝑅1𝑅2/(𝑅2−𝑅1)

Energy stored in a Capacitor is

U = Q^2/2C
I have attached my solution.

Unfortunately, after plugging in the values, my answer is 4 times more than the expected one. What am I missing?
 

Attachments

  • IMG_9605.png
    IMG_9605.png
    39.1 KB · Views: 154
Physics news on Phys.org
Your solution looks OK. You probably made a calculation error. Please post your substitutions, final answer and the answer you were told is correct.
 
  • Like
Likes   Reactions: vanhees71 and MatinSAR
The answer that we were told turned out to be incorrect. Thanks.
 
  • Like
Likes   Reactions: vanhees71

Similar threads

Replies
6
Views
1K
Replies
4
Views
2K
Replies
2
Views
2K
  • · Replies 15 ·
Replies
15
Views
1K
  • · Replies 6 ·
Replies
6
Views
3K
Replies
4
Views
3K
Replies
5
Views
2K
Replies
9
Views
3K
  • · Replies 14 ·
Replies
14
Views
2K
  • · Replies 4 ·
Replies
4
Views
2K