Changing the Limits of Summation

  • Thread starter Thread starter LiHJ
  • Start date Start date
  • Tags Tags
    Limits Summation
Click For Summary

Homework Help Overview

The discussion revolves around the manipulation of summation limits in mathematical expressions, specifically focusing on changing the index of summation. Participants are exploring how to derive a shortcut for summation limits as presented in a textbook.

Discussion Character

  • Conceptual clarification, Mathematical reasoning

Approaches and Questions Raised

  • The original poster seeks clarification on the derivation of a shortcut for summation limits. One participant explains a method for changing the index of summation and discusses the implications of renaming dummy indices. Another participant requests further clarification and examples to enhance understanding.

Discussion Status

The discussion is ongoing, with participants actively engaging in clarifying concepts and seeking additional examples. Some guidance has been provided regarding the manipulation of summation indices, but further elaboration is requested by participants.

Contextual Notes

There is a request for examples to better illustrate the concepts being discussed, indicating that participants may be grappling with the underlying principles of summation manipulation.

LiHJ
Messages
43
Reaction score
2

Homework Statement



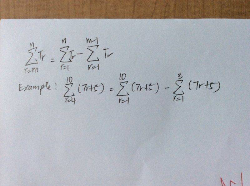
Dear Mentors and PF helpers,

Here's my question, I see these on my textbook but couldn't really understand how they derived this short cut.
Please show me how they got to these. Thank you for your time.

image.jpg


Homework Equations



These is what I understand from now.

image.jpg


The Attempt at a Solution

 
Physics news on Phys.org
So we have the sum [itex]\displaystyle \sum_{r=m}^n T_r[/itex]. We may change the index of summation from r to s=r+k. Then because r starts from m, s should start from m+k and because r ends at n, s should end at n+k. This means that we changed our summation to [itex]\displaystyle \sum_{s=m+k}^{n+k}T_{s-k}[/itex]. But you should note that this sum doesn't depend on s as the first sum didn't depend on r. r and s are just dummy indices because after you do the sums, there'll remain no sign of them. So I can safely rename s to r. But because the sums are just numbers and because the changes I did to the first sum doesn't change the result, I'll have:
[itex]\displaystyle \sum_{r=m}^n T_r=\sum_{r=m+k}^{n+k}T_{r-k}[/itex].
 
Dear Shyan,

Do you mind giving me a better view with these words, can give your explanation with examples to explain these.

Thank you for your time
 
[itex]\displaystyle \sum_{r=m}^n T_r=T_m+T_{m+1}+T_{m+2}+\dots+T_{n-2}+T_{n-1}+T_n[/itex]

[itex]\displaystyle \sum_{r=m+k}^{n+k} T_{r-k}=T_{m+k-k}+T_{m+k+1-k}+T_{m+k+2-k}+\dots+T_{n+k-2-k}+T_{n+k-1-k}+T_{n+k-k}=\\ T_m+T_{m+1}+T_{m+2}+\dots+T_{n-2}+T_{n-1}+T_n[/itex]

Is it clear enough?
 
Thank you very much Shyan.;)
 

Similar threads

Replies
5
Views
2K
  • · Replies 6 ·
Replies
6
Views
2K
  • · Replies 2 ·
Replies
2
Views
2K
  • · Replies 8 ·
Replies
8
Views
2K
Replies
3
Views
3K
  • · Replies 11 ·
Replies
11
Views
5K
  • · Replies 11 ·
Replies
11
Views
7K
  • · Replies 3 ·
Replies
3
Views
1K
Replies
3
Views
1K
  • · Replies 2 ·
Replies
2
Views
2K