Bolter
- 262
- 31
- Homework Statement
- Working out initial speed and inclination of projectile
- Relevant Equations
- SUVAT equations
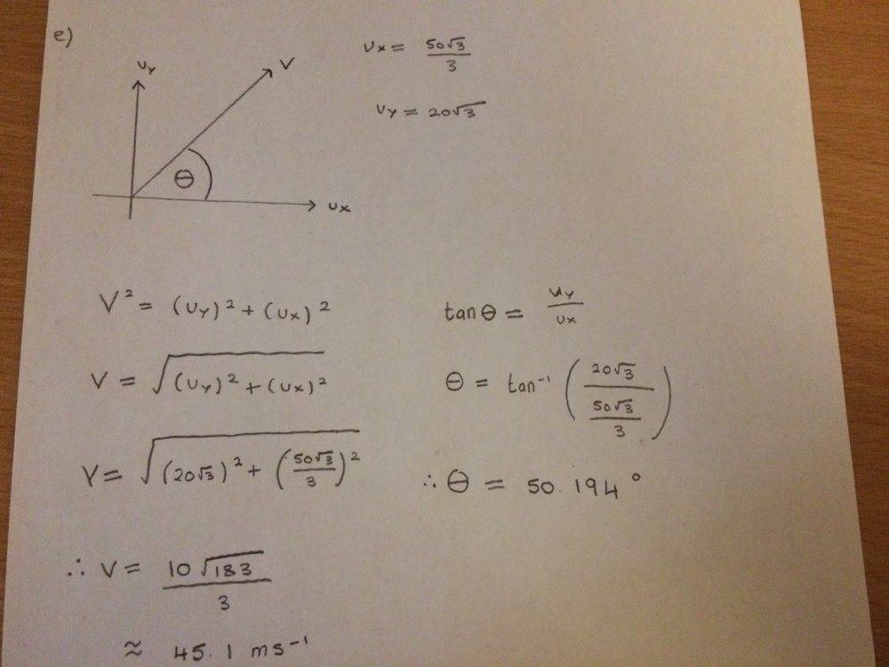
Have had a try at answering this question, and want to particularly know if I had done part e) correctly
Here is my workings from the previous parts as I need to use some prior values that I have obtained before to do part e)
For the last part, there were 2 ways that I went about it. First one was using conservation of energy and the second was to use Newtons 2nd law and SUVAT. Both methods gave the same result so I guess that is alright.
Thanks!
Here is my workings from the previous parts as I need to use some prior values that I have obtained before to do part e)
For the last part, there were 2 ways that I went about it. First one was using conservation of energy and the second was to use Newtons 2nd law and SUVAT. Both methods gave the same result so I guess that is alright.
Thanks!

That must be a parabola, right?