Clarifying some rules on solving quadratic equation

Click For Summary

Discussion Overview

The discussion revolves around the rules and implications of solving quadratic equations, specifically addressing the outcomes of dividing both sides of equations by certain factors. Participants explore two specific problems, examining the roots obtained and the reasoning behind them.

Discussion Character

  • Technical explanation
  • Debate/contested
  • Mathematical reasoning

Main Points Raised

  • One participant describes their process for problem 48, noting that dividing both sides by $(x-c)$ leads to only one root, while multiplying yields two unequal roots.
  • In problem 49, the same participant states that dividing by $\left(\frac{1}{\sqrt{x-q}}+\frac{1}{\sqrt{x-p}}\right)$ results in $x=p+q$, which they believe should yield two roots.
  • Another participant points out that a quadratic equation does not always guarantee two distinct roots and discusses the implications of the derived equation $\sqrt{x - q} + \sqrt{x - p} = 0$.
  • Further clarification is provided that the division in problem 48 removes one root from consideration, leading to the confusion about the number of roots in both problems.

Areas of Agreement / Disagreement

Participants express differing views on the expected number of roots from quadratic equations, with some asserting that not all quadratics yield two roots. The discussion remains unresolved regarding the specific outcomes of the two problems and the implications of dividing by certain factors.

Contextual Notes

Participants note the importance of considering the conditions under which roots are derived, particularly when dividing by terms that may equal zero. There is an acknowledgment of the potential for complex roots, though this was not explicitly addressed in the original questions.

Who May Find This Useful

Readers interested in the nuances of solving quadratic equations, particularly in the context of division and root analysis, may find this discussion relevant.

NotaMathPerson
Messages
82
Reaction score
0
View attachment 5675
Hello! I just want to clarify something about the rules on solving quadratic eqns.

I have already solved both problems but in the process of my solution some questions arise.

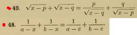
For example in the part of my soltution in problem 48 I have this

$(x-c)\left(\frac{a^2+b^2-ac-bc+x(2c-a-b)}{x^2-ax-bx+ab}\right)=0$

Multiplying both sides by $(x^2-ax-bx+ab)$ I get two unqueal roots. I got the correct ansswer for this one

But when I divide both sides by $(x-c)$ I only get one root.

And also for 49

In the part of my solution I have

$x\left(\frac{1}{\sqrt{x-p}}+\frac{1}{\sqrt{x-q}}\right)=(p+q)\left(\frac{1}{\sqrt{x-q}}+\frac{1}{\sqrt{x-p}}\right)$

Dividing both sides by $\left(\frac{1}{\sqrt{x-q}}+\frac{1}{\sqrt{x-p}}\right)$

I get x=p+q which is the correct answer

Now my questions are the following

In prob 48, when I divide both sides of the equation by $x-c$ I end up having one root
In prob 49 when I divide both sides by $\left(\frac{1}{\sqrt{x-q}}+\frac{1}{\sqrt{x-p}}\right)$ I end up with two equal roots

I divided both sides of the equations for both problems by a factor which contain x and I ended up having one root for prob 48 and two equal roots for 49. Can you tell me why is it the case.

I know the reason why I get a single root for prob 48. It is because of the fact that x=c is a solution. But what I am having trouble with is the fact that I used the same process(dividing both sides by a factor containing x) for prob 49 and still end up with two equal roots. Please explain it. Thanks
 

Attachments

  • Q48&49hallXXVIC.jpg
    Q48&49hallXXVIC.jpg
    6 KB · Views: 152
Mathematics news on Phys.org
NotaMathPerson said:
[tex]49.\;\sqrt{x-p} + \sqrt{x-q} \;=\;\frac{p}{\sqrt{x-q}} + \frac{q}{\sqrt{x-p}}[/tex]
Multiply both sides by [tex]\sqrt{x-p}\sqrt{x-q}:[/tex]

. . 0. . [tex](x-p)\sqrt{x-q} + (x-q)\sqrt{x-p} \;=\;p\sqrt{x-p} + q\sqrt{x-q}[/tex]

. . .. . [tex](x-p)\sqrt{x-q} - q\sqrt{x-q} + (x-q)\sqrt{x-p} - p\sqrt{x-p} \;=\;0[/tex]

[tex]\text{Factor: }\;(x-p-q)\sqrt{x-q} + (x-p-q)\sqrt{x-p} \;=\;0[/tex]

[tex]\text{Factor: }\;(x-p-q)(\sqrt{x-q} + \sqrt{x-p}) \;=\;0[/tex]

[tex]\text{Therefore: }\;x-p-q\:=\:0 \quad\Rightarrow\quad x \:=\: p+q[/tex]

 
Arent we suppose to get two roots for this problem? Since we have a quadratic equation. Anyone please explain this for me.
 
NotaMathPerson said:
Arent we suppose to get two roots for this problem? Since we have a quadratic equation. Anyone please explain this for me.

There's no guarantee that a quadratic equation has two roots. Further from the last equation the second root would be derived from:

$$\sqrt{x - q} + \sqrt{x - p} = 0$$

Which if you aren't dealing with complex numbers, which wasn't given in your original question, only has one possibility of being 0 which is [math]x = p = q[/math]. Can you see why?

As for question 48, the reason you only get one root when dividing out the [math]x - c[/math] is that you've divided out term that gets you one of the roots.
 
squidsk said:
There's no guarantee that a quadratic equation has two roots. Further from the last equation the second root would be derived from:

$$\sqrt{x - q} + \sqrt{x - p} = 0$$

Which if you aren't dealing with complex numbers, which wasn't given in your original question, only has one possibility of being 0 which is [math]x = p = q[/math]. Can you see why?

As for question 48, the reason you only get one root when dividing out the [math]x - c[/math] is that you've divided out term that gets you one of the roots.

Do you mean that the other solution is x=p=q?
Anyone? Hello?
 
Last edited:

Similar threads

  • · Replies 19 ·
Replies
19
Views
4K
  • · Replies 4 ·
Replies
4
Views
2K
  • · Replies 6 ·
Replies
6
Views
2K
  • · Replies 6 ·
Replies
6
Views
2K
  • · Replies 11 ·
Replies
11
Views
2K
  • · Replies 1 ·
Replies
1
Views
1K
  • · Replies 16 ·
Replies
16
Views
5K
  • · Replies 2 ·
Replies
2
Views
2K
  • · Replies 3 ·
Replies
3
Views
2K
Replies
3
Views
2K