Dealing with Nested Radicals: Strategies for Solving Quadratic Equations

  • Thread starter Thread starter sooyong94
  • Start date Start date
  • Tags Tags
    Radicals
Click For Summary

Homework Help Overview

The discussion revolves around solving quadratic equations that involve nested radicals, specifically focusing on the application of Vieta's formulas and the quadratic formula. Participants are exploring various algebraic manipulations and approaches to simplify the problem.

Discussion Character

  • Mixed

Approaches and Questions Raised

  • Some participants discuss using Vieta's formulas to derive equations in terms of variables, while others express difficulty in managing cube roots and nested square roots. There are suggestions to eliminate variables or to rewrite equations to simplify the problem. Participants also share their algebraic attempts and question the effectiveness of their approaches.

Discussion Status

The discussion is active, with participants sharing their attempts and exploring different strategies. Some guidance has been offered regarding algebraic manipulations, and there are multiple interpretations of the problem being examined. Participants are engaged in a collaborative effort to refine their understanding and approaches.

Contextual Notes

There are mentions of specific algebraic forms and conditions that need to be verified, as well as constraints related to the nature of the roots and coefficients in the quadratic equations being discussed. Some participants highlight the importance of maintaining certain algebraic properties while manipulating the equations.

sooyong94
Messages
173
Reaction score
2

Homework Statement


Capture.png


Homework Equations


Vieta's formula, quadratic formula

The Attempt at a Solution


I did use Vieta's formula, and got a set of equations in terms of α, however the tricky bit is to deal with the cube root. Then I tried the quadratic formula, but the algebra becomes too tricky (due to nested square roots).
 
Physics news on Phys.org
sooyong94 said:

Homework Statement


Capture.png


Homework Equations


Vieta's formula, quadratic formula

The Attempt at a Solution


I did use Vieta's formula, and got a set of equations in terms of α, however the tricky bit is to deal with the cube root. Then I tried the quadratic formula, but the algebra becomes too tricky (due to nested square roots).
Please post your working so far.
 
sooyong94 said:
I suggest either of two approaches:
  1. Use one of the Vieta equations to eliminate alpha from the other, so you have an equation with no occurrences of alpha. Yes, it will be messy, but it should lead to the target.
  2. Rewrite the target equation to consist of combinations of b/a and c/a and see if you can simplify it to a tautology. Reversing those steps should then be a proof.
 
$$\frac{-b^3}{a^3}=(x+\sqrt{x})^3=x^3+x^{3/2}+3(x^2+x^2\sqrt{x})=\frac{c^2}{a^2}+\frac{c}{a}+3(x^2+x\frac{c}{a})$$

I am also stuck here, maybe replace ##x^2=-\frac{b}{a}x-\frac{c}{a}##...
or ##x=(\frac{c^2}{a^2})^{\frac{1}{3}}##
Well maybe you can find the continuation, I am out of ideas here.
 
Now that I check again it is enough to prove that ##x^2+x\frac{c}{a}=-\frac{bc}{a^2}## I wonder how we can prove that...
 
Last edited:
Use your results from Vieta's formula.
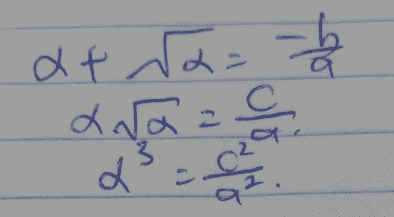
upload_2016-7-19_13-46-17.png


Then cubing ##\ \alpha+\sqrt \alpha \ ## should help greatly. Keep factors of ##\ \alpha\sqrt \alpha \ ## wherever they occur.

##\displaystyle \left(\alpha+\sqrt \alpha \right)^3 = \alpha^3+3\alpha( \alpha\sqrt \alpha ) +3\sqrt \alpha ( \alpha\sqrt \alpha )+\alpha\sqrt \alpha \ .##

From there it's pretty straight forward.
 
  • Like
Likes   Reactions: Delta2
Ah I was so close too but SammyS got me.

##x^2+x\frac{c}{a}=x\sqrt{x}\sqrt{x}+x\frac{c}{a}=\frac{c}{a}(\sqrt x+x)##
 
Delta² said:
Ah I was so close too but SammyS got me.

##x^2+x\frac{c}{a}=x\sqrt{x}\sqrt{x}+x\frac{c}{a}=\frac{c}{a}(\sqrt x+x)##
Just to illustrate the approaches I mentioned in post #4, not because they're any quicker but because they are goal-directed, not requiring any inspired insight:

1. Eliminate alpha using Vieta:
##\alpha=(\frac ca) ^{\frac 23}##
##(\frac ca) ^{\frac 23}+(\frac ca) ^{\frac 13}=-\frac ba##
Cubing
##(\frac ca)^2+3(\frac ca) ^{\frac 53}+3(\frac ca) ^{\frac 43}+\frac ca=-(\frac ba)^3##
##=(\frac ca)^2+3(\frac ca)((\frac ca) ^{\frac 23}+(\frac ca) ^{\frac 13})+\frac ca=(\frac ca)^2+3(\frac ca)(\alpha+\sqrt {\alpha})+\frac ca##
Etc.

2. Reverse engineering:
##b^3=ac(3b-a-c)##
##(\frac ba)^3=\frac ca(3\frac ba-1-\frac ca)##
Substitute throughout using alpha, simplify to obtain a tautology, then observe that the same steps can be run in reverse.
 
  • #10
haruspex said:
Just to illustrate the approaches I mentioned in post #4, not because they're any quicker but because they are goal-directed, not requiring any inspired insight:

1. Eliminate alpha using Vieta:
##\alpha=(\frac ca) ^{\frac 23}##
##(\frac ca) ^{\frac 23}+(\frac ca) ^{\frac 13}=-\frac ba##
Cubing
##(\frac ca)^2+3(\frac ca) ^{\frac 53}+3(\frac ca) ^{\frac 43}+\frac ca=-(\frac ba)^3##
##=(\frac ca)^2+3(\frac ca)((\frac ca) ^{\frac 23}+(\frac ca) ^{\frac 13})+\frac ca=(\frac ca)^2+3(\frac ca)(\alpha+\sqrt {\alpha})+\frac ca##
Etc.

2. Reverse engineering:
##b^3=ac(3b-a-c)##
##(\frac ba)^3=\frac ca(3\frac ba-1-\frac ca)##
Substitute throughout using alpha, simplify to obtain a tautology, then observe that the same steps can be run in reverse.

yes well basically your approach 1. is what we all 3 did, SammyS, me and you.

Approach 2 is quite interesting, I wouldn't have my mind thinking like that at first glance.
 
  • #11
sooyong94 said:

Homework Statement


Capture.png


Homework Equations


Vieta's formula, quadratic formula

The Attempt at a Solution


I did use Vieta's formula, and got a set of equations in terms of α, however the tricky bit is to deal with the cube root. Then I tried the quadratic formula, but the algebra becomes too tricky (due to nested square roots).

Write the initial quadratic as ##x^2 + b' x + c' = 0##, where ##b' = b/a## and ## c' = c/a##. The condition to be verified is ##b'^3 = c'(3 b' - 1 - c')##. (This is just the quadratic with leading coefficient = 1, etc.

OK, so the quadratic is ##p(x) = (x-v)(x-v^2)## for some ##v##; that means that ##b' = -v - v^2## and ##c' = v^3##. The rest follows by straightforward algebra.
 
Last edited:
  • Like
Likes   Reactions: SammyS
  • #12
Ray Vickson said:
Write the initial quadratic as##x^2 + b' x + c' = 0##, where ##b' = b/a## and ## c' = c/a##.

Maybe (tex typo?) you mean just x2 + b' x + c' = 0##, where ##b' = b/a## and ## c' = c/a. ?

OK I have done it - easier than following anyone else's argument which I find like someone else's unmade bed! But equivalent I think.

Moral of the story, see thread title, avoid radicals when you can.

Secondly, almost always for algebraic equations make the leading coefficient 1, divide by a, work on the equation e.g.
x2 + b'x + c' = 0. You will get simpler intermediate expressions, more likely to be related to textbook statements, and since the roots are still the same, what is true of a, b,c is true of 1, b', c' . So you can easily recognise whether you are getting towards the right results.
 
  • #13
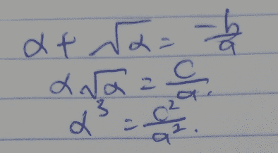
SammyS said:
Use your results from Vieta's formula.
View attachment 103497

Then cubing ##\ \alpha+\sqrt \alpha \ ## should help greatly. Keep factors of ##\ \alpha\sqrt \alpha \ ## wherever they occur.

##\displaystyle \left(\alpha+\sqrt \alpha \right)^3 = \alpha^3+3\alpha( \alpha\sqrt \alpha ) +3\sqrt \alpha ( \alpha\sqrt \alpha )+\alpha\sqrt \alpha \ .##

From there it's pretty straight forward.
Thanks - I managed to work this out easily. ;)
 
  • #14
sooyong94 said:
Thanks - I managed to work this out easily. ;)
That's good.

What did you get for the second part? What did you get for y, and what did you get for roots of the resulting equation(s) ?
 
  • #15
I got y=-1 and y=6, and the resulting roots are
x=1/9 and x=-1/3

x=4/9 and x=-2/3
 
  • #16
sooyong94 said:
I got y=-1 and y=6, and the resulting roots are
x=1/9 and x=-1/3

x=4/9 and x=-2/3
Those are indeed the solutions that result, and it is true that ##\displaystyle \ \left(-\frac 13 \right)^2=\frac 19 \,,\ ## it's also the case that strictly speaking, ##\displaystyle \ \sqrt \frac 19 \ne -\frac 13 \ .##

Similar results hold for the roots resulting from the other y solution.

That's something to think about.
 
Last edited:
  • #17
Now, let's suppose that we are to be strict about using the principle square root here, and that we have written the quadratic equation with b' and c' as suggested by Ray Vickson and epenguin .
That is to say, the quadratic equation ##\ x^2 + b\,' x + c' = 0 \ ## has solutions, ##\ \alpha \ ##.and ##\ \sqrt \alpha \ .##

Since ##\ \alpha\ ##.and ##\ \sqrt \alpha\ ## are both positive, b' must be negative, since ##\ -\alpha-\sqrt \alpha\ = {b}\,' \ .## Similarly, c' must be positive.

For the equation, ##\ 27x^2+6x-(y+2)=0\ ## and the values that sooyong94 got for y, we have positive b' and negative c' .

Using ##\ -6\ ## for b, so we have ##\ 27x^2-6x-(y+2)=0\ ##, will give two irrational values for y, one of which does give two positive (and irrational) values for x.

To get rational solutions for x, use ##\ b=-12\ ## or ##\ b=-30\ .##
 

Similar threads

  • · Replies 41 ·
2
Replies
41
Views
6K
  • · Replies 2 ·
Replies
2
Views
8K
  • · Replies 4 ·
Replies
4
Views
4K
Replies
4
Views
2K
  • · Replies 3 ·
Replies
3
Views
2K
  • · Replies 46 ·
2
Replies
46
Views
5K
  • · Replies 2 ·
Replies
2
Views
2K
  • · Replies 15 ·
Replies
15
Views
2K
  • · Replies 6 ·
Replies
6
Views
2K
  • · Replies 7 ·
Replies
7
Views
2K