Complete absorption of E-fields by surface

Click For Summary
SUMMARY

The discussion centers on the behavior of electromagnetic (EM) waves when they encounter a surface that completely absorbs the electric field. According to Maxwell's equations, if the electric field (E-field) is entirely absorbed, both the transmitted electric field (ET) and reflected electric field (Er) equal zero. Consequently, the boundary conditions for the magnetic field (B-field) must be analyzed to determine its behavior on the other side of the surface.

PREREQUISITES
  • Understanding of Maxwell's equations
  • Knowledge of electromagnetic wave propagation
  • Familiarity with boundary conditions in electromagnetism
  • Concept of electric and magnetic field interactions
NEXT STEPS
  • Study the implications of boundary conditions on electromagnetic fields
  • Learn about the behavior of B-fields in absorbing materials
  • Explore the derivation of Maxwell's equations in different media
  • Investigate the concept of perfect electric conductors in EM wave interactions
USEFUL FOR

Students and professionals in physics, electrical engineering, and anyone studying electromagnetic theory, particularly those focusing on wave interactions with materials.

unscientific
Messages
1,728
Reaction score
13

Homework Statement



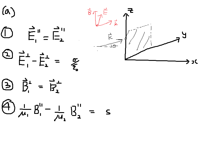
An EM wave is incident normally on a surface which absorbs all the electric field. Using maxwell equations, determine B-field on the other side.


Homework Equations





The Attempt at a Solution



If all the E-field is absorbed, won't ET and Er = 0? Then none of these boundary conditions make any sense.

Boundary Conditions:
qpjmgn.png
 
Physics news on Phys.org
bumpp
 
bumpp
 

Similar threads

  • · Replies 4 ·
Replies
4
Views
2K
Replies
2
Views
3K
  • · Replies 6 ·
Replies
6
Views
3K
  • · Replies 1 ·
Replies
1
Views
1K
  • · Replies 1 ·
Replies
1
Views
2K
  • · Replies 1 ·
Replies
1
Views
2K
  • · Replies 3 ·
Replies
3
Views
5K
  • · Replies 1 ·
Replies
1
Views
3K
  • · Replies 1 ·
Replies
1
Views
4K
  • · Replies 6 ·
Replies
6
Views
4K