Conditions in Wave Function, and Integration

Click For Summary

Discussion Overview

The discussion revolves around the conditions under which a wave function, Ψ, approaches zero at infinity and the implications for evaluating integrals in quantum mechanics. Participants explore the mathematical behavior of wave functions, particularly in relation to their derivatives and the concept of functions of compact support.

Discussion Character

  • Technical explanation
  • Conceptual clarification
  • Debate/contested

Main Points Raised

  • One participant questions how an integral can equal zero if the wave function, Ψ, is vanishingly small at infinity, suggesting that it must fall to zero faster than 1/√|x|.
  • Another participant raises a concern about the implications of Ψ being small at infinity while having finite differences, using the example of the function Ψ(x) = sin(x²)/x.
  • A participant introduces the concept of Rigged Hilbert Spaces and Distribution theory, arguing that these frameworks can help address the issues surrounding the behavior of wave functions at infinity.
  • It is suggested that in quantum mechanics, wave functions and their derivatives are assumed to vanish at infinity to ensure the Hermitian nature of operators.

Areas of Agreement / Disagreement

Participants express differing views on the implications of wave functions approaching zero at infinity, with some emphasizing the need for rigorous mathematical frameworks while others focus on practical approaches. The discussion remains unresolved regarding the best way to handle these conditions in quantum mechanics.

Contextual Notes

Participants note that understanding these concepts may require advanced knowledge in functional analysis and distribution theory, indicating that the discussion touches on complex mathematical foundations.

IWantToLearn
Messages
95
Reaction score
0
Untitled.png

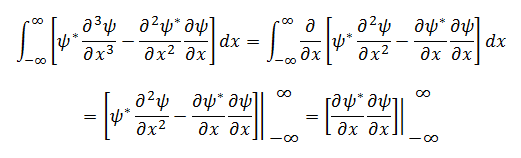
I want to know how this integral will equal zero?

I know that Ψ will fall to zero as x goes to infinity
and i know that Ψ must fall to zero very quickly , Ψ must fall to zero faster than 1/√|x|

all of this will help evaluating this integral

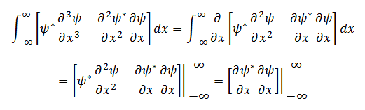
i tried to solve it as follows

Untitled2.png


The first term will vanish due to the previous reasons
but how the second term will vanish?
 
Physics news on Phys.org
If ## \psi ## is vanishingly small at infinity, how can it have finite differences at infinity?
 
Shyan said:
If ## \psi ## is vanishingly small at infinity, how can it have finite differences at infinity?

##\psi(x) = \frac{sin(x^2)}{x}##

Or at least a function based on this for large ##|x|##
 
The full elucidation of the question you are asking needs Rigged Hilbert Spaces which requires considerable background in functional analysis. It most definitely is not recommended for the beginner.

As a halfway stop, and an extremely important part of the tool kit of anyone into applied math, not just physics, is what's called Distribution theory. I think everyone should have a copy of the following wonderful book on it:
https://www.amazon.com/dp/052137149X/?tag=pfamazon01-20

It will repay its study many times over. Its worth it for its treatment of the Fourier Transform alone. Conventional treatments become bogged down with difficult issues of convergence etc - but the Distribution theory approach bypasses all of that with great elegance.

To get back to your original query at the start in QM simply view all the functions you deal with as zero outside some finite region - such are called functions of compact support and you will see why that view is reasonable when you study Distribution theory. You will occasionally encounter functions that most definitely are not like that but in the sense of Distribution theory can be viewed as approximations to functions of compact support. Simply replace it by a function of compact support and things like the second term that worries you vanishes. Its not valid math but to start with you won't run into any issues.

Later you can learn the technicalities of functional analysis and Rigged Hilbert Spaces and see how it resolves these issues with full rigour, but to start with bite your tongue and simply think of the functions you deal with being of compact support.

As an aside when I first learned QM I became absorbed with issues like that and did a long sojourn into the exotica that resolves such things. I know from experience worrying about it now is counter productive - you can get to the bottom of it later.

Thanks
Bill
 
Last edited:
  • Like
Likes   Reactions: Ravi Mohan
IWantToLearn said:
View attachment 90037
I want to know how this integral will equal zero?

I know that Ψ will fall to zero as x goes to infinity
and i know that Ψ must fall to zero very quickly , Ψ must fall to zero faster than 1/√|x|

all of this will help evaluating this integral

i tried to solve it as follows

View attachment 90038

The first term will vanish due to the previous reasons
but how the second term will vanish?
If [itex]\frac{\partial^{n}\psi}{\partial x^{n}}[/itex] does not approach zero as [itex]x \to \pm \infty[/itex], the operator [itex](\frac{\hbar}{i} \frac{\partial}{\partial x})^{n+1}[/itex] may not be Hermitean. For this reason, In QM, it is assumed that the wavefunction and its partial derivatives to finite order vanish as [itex]x \to \pm \infty[/itex].
 

Similar threads

  • · Replies 6 ·
Replies
6
Views
2K
  • · Replies 24 ·
Replies
24
Views
2K
  • · Replies 1 ·
Replies
1
Views
2K
  • · Replies 1 ·
Replies
1
Views
2K
  • · Replies 1 ·
Replies
1
Views
1K
  • · Replies 4 ·
Replies
4
Views
2K
  • · Replies 8 ·
Replies
8
Views
2K
  • · Replies 2 ·
Replies
2
Views
1K
  • · Replies 3 ·
Replies
3
Views
2K
  • · Replies 7 ·
Replies
7
Views
2K