Confusion about the quantum field Lorentz transformation

Click For Summary

Discussion Overview

The discussion revolves around the Lorentz transformation of field operators as presented in Peskin & Schroeder's text. Participants express confusion and explore different approaches to understanding the transformation, including canonical quantization and the role of unitary operators in quantum field theory.

Discussion Character

  • Exploratory
  • Technical explanation
  • Debate/contested

Main Points Raised

  • One participant questions the validity of changing the integration measure in the context of Lorentz transformations, suggesting that the entire integrand should also be transformed.
  • Another participant presents two approaches to the problem: one using canonical quantization and the other involving unitary operators to achieve local transformations for field operators.
  • There is a discussion on the implications of quantizing fields with half-integer spins as bosons or fermions to maintain a microcausal theory.
  • Participants note that the transformation rules for creation and annihilation operators can be derived from the canonical formalism, leading to similar results as those presented by Peskin & Schroeder.
  • One participant confirms that Peskin & Schroeder's definition of the unitary operator can be derived from the canonical approach, highlighting the relationship between the two methods.

Areas of Agreement / Disagreement

Participants express differing views on the treatment of the Lorentz transformation and the definition of the unitary operator, indicating that multiple competing perspectives remain unresolved.

Contextual Notes

Some participants note that the definitions and approaches discussed may depend on specific normalization conditions and the treatment of symmetries in quantum theory, which are not fully resolved in the conversation.

HomogenousCow
Messages
736
Reaction score
213
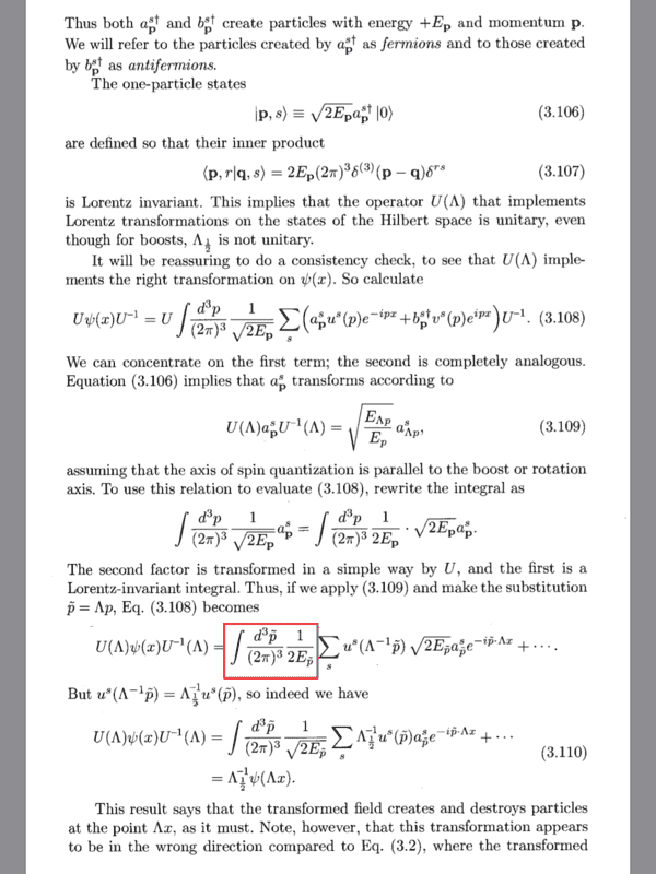
On page 59 of Peskin & Schroeder, there's a section on the lorentz transformation of field operators which I've attached. I'm confused about the part towards the end where he does a change of variable on the integration measure; it seems like he's only rewriting the lorentz-invariant integration measure in terms of the boosted momentum, and not the rest of the integrand. Why is this allowed? Surely the integral has to be boosted together.

EDIT: Nevermind, just wasn't thinking about it the right way
 

Attachments

  • A76C5C74-B04B-4F3E-AF85-68507A982E8E.png
    A76C5C74-B04B-4F3E-AF85-68507A982E8E.png
    47.3 KB · Views: 595
Last edited:
Physics news on Phys.org
Although Peskin&Schroeder are of course correct, I find the definition of ##\hat{U}## also a bit ad hoc. There are two ways to treat the problem. My favorite is straight forward using the "canonical quantization prescription", i.e., you use the Hamiltonian formulation for the classical field and then quantize it using commutator or anticommutator relations for the canonical field operators and their canonically conjugated momenta (depending on whether you have bosons or fermions, but you are forced from the analysis of the free fields that you have to quantize (half-)integeger spin fields as bosons (fermions) in order to get a microcausal theory with a Hamiltonian bounded from below). Then the canonical formalism tells you the generators of the symmetries via Noether's theorem (up to normal ordering to make them well-defined and finite of course).

The other way, going much along the lines as PS is to demand that there's a unitary operator operating such that you get the usual local transformations for the field operators as for the classical field analogues. Then you get the transformation of the creation and annihilation operators wrt. the usual momentum-spin basis, PS start with.

It's of course independent of which normalization condition for the ##\hat{a}## and ##\hat{a}^{\dagger}## you choose. The quantum transformation is always unitary by definition. Of course, there are no finite-dimensional unitary representations of the Lorentz group (except the trivial one), because it's not a compact group, but this has nothing to do with the unitarity of the transformations in QT. By definition a symmetry must always be represented by a unitary ray representation. In the case of the proper orthochronous Poincare group you can always lift any unitary ray representation to a proper unitary representation of its covering group. The ray representations of the Poincare group has no non-trivial central charges (as the Galileo group fortunately has, because otherwise there'd be no useful non-relativistic QM to begin with :-)).
 
  • Like
Likes   Reactions: dextercioby
vanhees71 said:
Although Peskin&Schroeder are of course correct, I find the definition of ^UU^\hat{U} also a bit ad hoc. There are two ways to treat the problem. My favorite is straight forward using the "canonical quantization prescription", i.e., you use the Hamiltonian formulation for the classical field and then quantize it using commutator or anticommutator relations for the canonical field operators and their canonically conjugated momenta (depending on whether you have bosons or fermions, but you are forced from the analysis of the free fields that you have to quantize (half-)integeger spin fields as bosons (fermions) in order to get a microcausal theory with a Hamiltonian bounded from below). Then the canonical formalism tells you the generators of the symmetries via Noether's theorem (up to normal ordering to make them well-defined and finite of course).

This gives the same transformation rules on the creation/annihilation operators though right? Once you exponentiate the generators.
 
Indeed. You can derive P&S's definition of the ##\hat{U}##'s in this way. P&S just go the other way and define how the ##\hat{U}##s act on the creation and annihilation operators wrt. to the standard momentum-spin single-particle basis and then prove that this definition leads to the construction of a local unitary representation of the Poincare group.
 

Similar threads

  • · Replies 31 ·
2
Replies
31
Views
6K
Replies
3
Views
2K
  • · Replies 1 ·
Replies
1
Views
1K
  • · Replies 7 ·
Replies
7
Views
2K
  • · Replies 6 ·
Replies
6
Views
2K
  • · Replies 101 ·
4
Replies
101
Views
8K
  • · Replies 2 ·
Replies
2
Views
2K
  • · Replies 4 ·
Replies
4
Views
2K
  • · Replies 0 ·
Replies
0
Views
2K
  • · Replies 6 ·
Replies
6
Views
3K