Constructing transfer block function

  • Context: MHB 
  • Thread starter Thread starter nacho-man
  • Start date Start date
  • Tags Tags
    Block Function
Click For Summary
SUMMARY

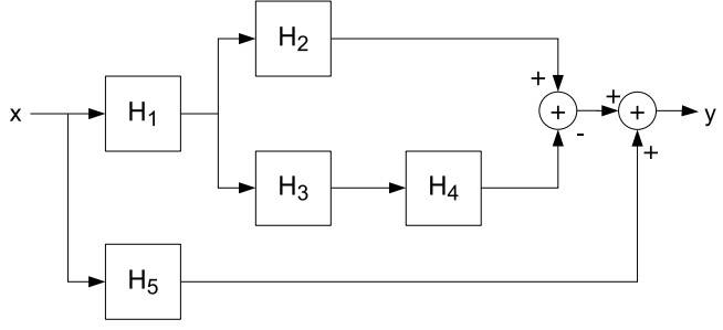
The discussion centers on constructing a transfer block function, specifically focusing on the output $Y(Z)$ derived from three components: $Y_1(Z)$, $Y_2(Z)$, and $Y_3(Z)$. The user correctly identifies the relationships as $Y_1(Z) = H_2(Z)H_1(Z)$, $Y_2(Z) = H_4(Z)H_3(Z)H_1(Z)$, and $Y_3(Z) = H_5(Z)$, leading to the equation $Y(Z) = Y_3(Z) + Y_1(Z) - Y_2(Z)$. Clarification was provided regarding the notation, indicating that $Y(Z)$ and $H_1(Z)$ should simply be $Y$ and $H_1$, representing the z-transforms of the output and filter, respectively. The absence of a feedback loop simplifies the problem significantly.

PREREQUISITES
  • Understanding of z-transforms in control systems
  • Familiarity with transfer functions and their components
  • Basic knowledge of feedback loops in signal processing
  • Experience with mathematical notation in engineering contexts
NEXT STEPS
  • Study z-transform properties and applications in control systems
  • Learn about transfer functions and their role in system analysis
  • Explore feedback loop concepts in signal processing
  • Review mathematical notation and conventions used in engineering
USEFUL FOR

Students and professionals in electrical engineering, control systems engineers, and anyone involved in signal processing who seeks to understand transfer block functions and z-transform applications.

nacho-man
Messages
166
Reaction score
0
Hey just needed some help working with this.

I can't find any relevant textbooks and the lecture slides i have a very vague to go off from.
I've attached an image, and this my attempt.

I'd like to add, in my notes the lecturer used an example feedback loop and had an error signal.

I am not sure if that would always be included or not? I have no idea what branch mathematics this falls under, what it is for etc so it's been really hard for me to read up on. if anyone could give me guidance in regards to these issues that would also be greatly appreciated.

anyway so ill skip ahead to my attempt at this question.

the output we are looking for is $Y(Z)$

I split the inputs into 3 components,
letting
$Y_1(Z)$ = $H_2(Z)H_1(Z)$
$Y_2(Z)$ = $H_4(Z)H_3(Z)H_1(Z)$
$Y_3(Z)$ = $H_5(Z)$

$Y(Z) = Y_3(Z) + Y_1(Z) - Y_2(Z)$

which i would just expand and simplify from there?

Is this correct, I am quite lost on this topic.

any help is greatly appreciated.
 

Attachments

  • transfer block.jpg
    transfer block.jpg
    8.5 KB · Views: 103
Physics news on Phys.org
nacho said:
Hey just needed some help working with this.

I can't find any relevant textbooks and the lecture slides i have a very vague to go off from.
I've attached an image, and this my attempt.

I'd like to add, in my notes the lecturer used an example feedback loop and had an error signal.

I am not sure if that would always be included or not? I have no idea what branch mathematics this falls under, what it is for etc so it's been really hard for me to read up on. if anyone could give me guidance in regards to these issues that would also be greatly appreciated.

anyway so ill skip ahead to my attempt at this question.

the output we are looking for is $Y(Z)$

I split the inputs into 3 components,
letting
$Y_1(Z)$ = $H_2(Z)H_1(Z)$
$Y_2(Z)$ = $H_4(Z)H_3(Z)H_1(Z)$
$Y_3(Z)$ = $H_5(Z)$

$Y(Z) = Y_3(Z) + Y_1(Z) - Y_2(Z)$

which i would just expand and simplify from there?

Is this correct, I am quite lost on this topic.

any help is greatly appreciated.

Hi nacho,

The proper place is Other Advanced Topics, since it doesn't require advanced math, and it doesn't fit in any of the regular math categories.
I have moved this thread there.

Your deduction is correct and there is nothing useful to simplify.

I am a little confused by your notation of $Y(Z)$ and $H_1(Z)$.
It seems to me this should be just $Y$ respectively $H_1$, which represent the z-transforms of $y$ respectively the filter corresponding to $H_1$.

These problems are more complicated if you do have a feedback loop, but you don't.
 

Similar threads

  • · Replies 3 ·
Replies
3
Views
2K
  • · Replies 5 ·
Replies
5
Views
3K
  • · Replies 5 ·
Replies
5
Views
3K
  • · Replies 12 ·
Replies
12
Views
3K
  • · Replies 1 ·
Replies
1
Views
3K
  • · Replies 4 ·
Replies
4
Views
1K
  • · Replies 1 ·
Replies
1
Views
2K
  • · Replies 2 ·
Replies
2
Views
6K
  • · Replies 1 ·
Replies
1
Views
4K
  • · Replies 7 ·
Replies
7
Views
3K