Derivation of Sudarshan-Glauber P function

  • Thread starter Thread starter Muthumanimaran
  • Start date Start date
  • Tags Tags
    Derivation Function
Click For Summary

Homework Help Overview

The discussion revolves around the derivation of the P-function in Quantum Optics, specifically referencing a derivation from the book "Quantum Optics" by Marlan O. Scully and M. Suhail Zubairy. The original poster shares an image of the derivation and seeks assistance in understanding the steps involved, particularly in expanding certain functions related to the operators involved.

Discussion Character

  • Exploratory, Conceptual clarification, Mathematical reasoning

Approaches and Questions Raised

  • Participants discuss the expansion of the trace in the context of the |α> basis and express difficulty in deriving a specific equation. Questions arise about the expansion of functions involving operators, and some participants suggest specific forms for these functions.

Discussion Status

The discussion has seen participants questioning their understanding and clarifying their thoughts on the derivation process. Some guidance has been offered regarding the choice of functions to use in the derivation, but there is no explicit consensus on the overall approach or resolution of the problem.

Contextual Notes

Participants are working within the constraints of their coursework and are referencing specific equations from the text. There is an acknowledgment of confusion regarding the steps in the derivation, which may indicate a need for further clarification on the definitions and properties of the operators involved.

Muthumanimaran
Messages
79
Reaction score
2

Homework Statement


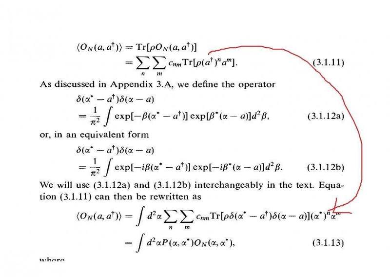
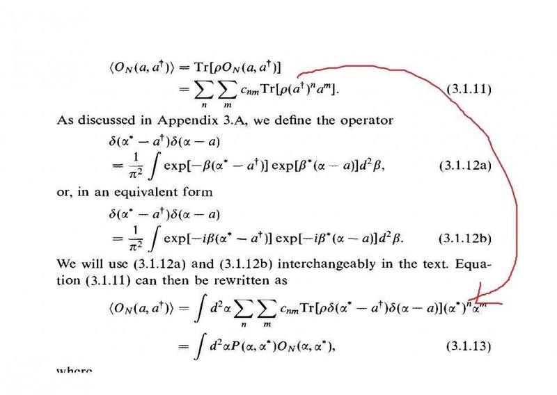
It is not a problem, But I am doing a coursework on Quantum Optics on my own. The following derivation is for P-function in Quantum optics from the book Quantum Optics by Marlan O.Scully and M. Suhail Zubairy. I attached the Image of the derivation with this Question.

Homework Equations


Relevant Equations are given in the Image

The Attempt at a Solution


I expanded the trace in the (3.1.11) in |α> basis. But I am unable to get (3.1.13).
 

Attachments

  • P-function.jpg
    P-function.jpg
    38.3 KB · Views: 584
Physics news on Phys.org
Muthumanimaran said:

Homework Statement


It is not a problem, But I am doing a coursework on Quantum Optics on my own. The following derivation is for P-function in Quantum optics from the book Quantum Optics by Marlan O.Scully and M. Suhail Zubairy. I attached the Image of the derivation with this Question.

Homework Equations


Relevant Equations are given in the Image

The Attempt at a Solution


I expanded the trace in the (3.1.11) in |α> basis. But I am unable to get (3.1.13).
They are just saying that (by definition),

$$ \int d^2 \alpha ~~\delta(a- \alpha) \delta(a^\dagger - \alpha^*) f(\alpha) f(\alpha^*) = f(a) f(a^\dagger) $$
 
Yeah I absolutely understand that, but I don't know how to expand f(a)f(a†). Can you help me with this?
 
Muthumanimaran said:
Yeah I absolutely understand that, but I don't know how to expand f(a)f(a†). Can you help me with this?
Ah, but then 3.1.13 follows directly from 3.1.11 with the choice ## f(a) = a^m## and ## f(a^\dagger) = (a^\dagger)^n##. That's all there is to it. I am not sure what the question is, then.
 
Oh yes, I confused myself a bit. Now I got. Its pretty straightforward. Thank you.
 

Similar threads

Replies
1
Views
2K
Replies
1
Views
2K
  • · Replies 7 ·
Replies
7
Views
2K
  • · Replies 1 ·
Replies
1
Views
2K
  • · Replies 3 ·
Replies
3
Views
3K
Replies
2
Views
2K
  • · Replies 1 ·
Replies
1
Views
2K
  • · Replies 1 ·
Replies
1
Views
2K
Replies
7
Views
7K
  • · Replies 3 ·
Replies
3
Views
2K