Determining Momentum from Wavefunction

Click For Summary

Discussion Overview

The discussion centers on determining momentum in a two-dimensional quantum system from wavefunction values and eigenergies. Participants explore various methods and concepts related to quantum mechanics, including computational approaches and the implications of the Heisenberg uncertainty principle.

Discussion Character

  • Exploratory
  • Technical explanation
  • Conceptual clarification
  • Debate/contested
  • Mathematical reasoning

Main Points Raised

  • One participant seeks guidance on how to determine momentum from wavefunction values and eigenergies in a quantum system.
  • Another participant asks for mathematical precision regarding what is meant by "determine the momentum."
  • There is a suggestion that the momentum-space wavefunction can be obtained by inverse Fourier transforming the position-space wavefunction.
  • A participant notes that quantum mechanics is probabilistic, affecting the determination of position and momentum values.
  • One participant expresses confusion about whether momentum can be approximated as a derivative in a 2D lattice of wavefunction values.
  • Another participant asserts that approximating momentum as a derivative is not consistent with quantum mechanics.
  • It is proposed that the ability to approximate momentum depends on the specific wavefunction, with an alternative method being Fourier transformation to momentum space.
  • A participant mentions their simulation of a graphene system using the Python package kwant, seeking advice on deducing momentum values from eigenstates.
  • One participant remarks that analyzing graphene in quantum mechanics is an advanced topic.

Areas of Agreement / Disagreement

Participants express differing views on the feasibility of approximating momentum as a derivative and the implications of quantum mechanics on this approach. The discussion remains unresolved regarding the best method to determine momentum in the specified context.

Contextual Notes

Participants reference the Heisenberg uncertainty principle and the probabilistic nature of quantum mechanics, which may limit the determination of momentum. The discussion also touches on the specific conditions of the simulated graphene system, which may affect the applicability of proposed methods.

FermiDIrac19
Messages
7
Reaction score
0
TL;DR
Determining the momentum (2D) in a quantum system from the wavefunction values and the eigenergies.
The goal I am trying to achieve is to determine the momentum (2D) in a quantum system from the wavefunction values and the eigenergies. How would I go about this in a general manner? Any pointers to resources would be helpfull.
 
Physics news on Phys.org
FermiDIrac19 said:
Summary:: Determining the momentum (2D) in a quantum system from the wavefunction values and the eigenergies.

The goal I am trying to achieve is to determine the momentum (2D) in a quantum system from the wavefunction values and the eigenergies. How would I go about this in a general manner? Any pointers to resources would be helpfull.
How much QM do you know?
 
PeroK said:
How much QM do you know?
I took an introductory course on QM. But it seems I am missing some fundamental steps to understand this process.
 
FermiDIrac19 said:
I took an introductory course on QM. But it seems I am missing some fundamental steps to understand this process.
When you say "determine the momentum" can you be mathematically precise about what you want to calculate?
 
PeroK said:
When you say "determine the momentum" can you be mathematically precise about what you want to calculate?
Well, specifically I want to determine what angle a state is in, in a quantum system. I thought this would be best determined from the x- and y- values of the momentum values of the system.
 
FermiDIrac19 said:
Well, specifically I want to determine what angle a state is in, in a quantum system. I thought this would be best determined from the x- and y- values of the momentum values of the system.
If you know the position-space wavefunction, you can inverse Fourier transform it to get the momentum-space wavefunction. That tells you all there is to know about momentum for the given wavefunction.

Note that QM is probabilistic when it comes to position and momentum values that result from measurement.
 
PeroK said:
If you know the position-space wavefunction, you can inverse Fourier transform it to get the momentum-space wavefunction. That tells you all there is to know about momentum for the given wavefunction.

Note that QM is probabilistic when it comes to position and momentum values that result from measurement.
Thank you for the reply.

I should have specified that I am talking about wavefunction values in position space and determining the momentum computationally.
 
FermiDIrac19 said:
Thank you for the reply.

I should have specified that I am talking about wavefunction values in position space and determining the momentum computationally.
There is no momentum to compute. That's why you have a wavefunction in QM instead of a definite position and momentum. The Heisenberg uncertainty principle and all that.
 
PeroK said:
There is no momentum to compute. That's why you have a wavefunction in QM instead of a definite position and momentum. The Heisenberg uncertainty principle and all that.
I'm confused. Could I not in a 2D eigenstate of a quantum system determine the momentum as an approxmation of a derivative in the 2D lattice of the wavefunction values?
 
  • #10
FermiDIrac19 said:
I'm confused. Could I not in a 2D eigenstate of a quantum system determine the momentum as an approxmation of a derivative in the 2D lattice of the wavefunction values?
No. This is not QM.
 
  • #11
PeroK said:
No. This is not QM.
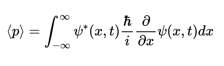
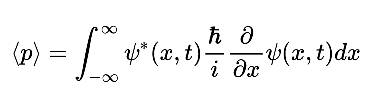
Screenshot 2021-08-06 215307.png


Can I not approximate this derivative to gain the expectaion value of momentum?

(sorry for the image, the latex didn't work)
 
  • #12
FermiDIrac19 said:
View attachment 287184

Can I not approximate this derivative to gain the expectaion value of momentum?

(sorry for the image, the latex didn't work)
It depends on the wavefunction. The alternative is to Fourier transform to momentum space.

Once you have a specific wavefunction then you use numerical methods.
 
  • #13
PeroK said:
It depends on the wavefunction. The alternative is to Fourier transform to momentum space.

Once you have a specific wavefunction then you use numerical methods.
Thank you for your responses.

Do you have any resources I can use to read more about this?

I'm having trouble understanding the quantisation in my system.

To give more info: I have a system of graphene that I simulated in the python package kwant. This has open boundary condition in one direction and periodic boundary conditions in the other. From this I should be able to deduce the values of the momentum in each eigenstate using the momentum operator. How would I go about this?
 
  • #14
FermiDIrac19 said:
Thank you for your responses.

Do you have any resources I can use to read more about this?

I'm having trouble understanding the quantisation in my system.

To give more info: I have a system of graphene that I simulated in the python package kwant. This has open boundary condition in one direction and periodic boundary conditions in the other. From this I should be able to deduce the values of the momentum in each eigenstate using the momentum operator. How would I go about this?
A QM analysis of graphene sounds like quite an advanced specialist question!
 

Similar threads

  • · Replies 8 ·
Replies
8
Views
2K
  • · Replies 13 ·
Replies
13
Views
3K
  • · Replies 6 ·
Replies
6
Views
1K
  • · Replies 1 ·
Replies
1
Views
1K
  • · Replies 8 ·
Replies
8
Views
2K
  • · Replies 1 ·
Replies
1
Views
1K
  • · Replies 6 ·
Replies
6
Views
2K
  • · Replies 0 ·
Replies
0
Views
1K
  • · Replies 6 ·
Replies
6
Views
2K
  • · Replies 8 ·
Replies
8
Views
4K