Determining the direction of current due to a change in magnetic flux

Click For Summary

Homework Help Overview

The discussion revolves around determining the direction of induced current in a loop due to a change in magnetic flux, specifically in the context of a declining magnetic field. Participants are examining the implications of the right-hand rule and the conventions used in describing current direction.

Discussion Character

  • Conceptual clarification, Assumption checking

Approaches and Questions Raised

  • Participants are questioning the direction of the induced current, with some asserting it should be clockwise while others reference the answer indicating anti-clockwise. There is also discussion about the perspective from which the direction is viewed, and how this affects the interpretation of the current's direction.

Discussion Status

The discussion is ongoing, with participants expressing differing views on the correct direction of current. Some have provided reasoning based on the principle that induced current opposes changes in magnetic flux, while others are exploring the implications of viewing angles in determining current direction.

Contextual Notes

There appears to be confusion stemming from the conventions used in defining clockwise and anti-clockwise directions, as well as the assumptions about the magnetic field's orientation. Participants are also reflecting on the clarity of terminology used in related subjects, such as chemistry.

Eitan Levy
Messages
259
Reaction score
11
Homework Statement
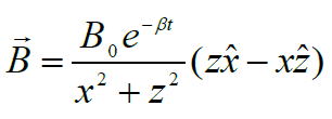
Let there be a magnetic field as posted below.

There is a square shaped loop with its center being at (2a, 2a,0). The length of the sides is 2a.

The loop is placed in the xy plane (z=0).

Determine the direction of the current in the loop.
Relevant Equations
-
1602616068556.png


This is supposed to be very basic, where the loop is held there is a declining magnetic field in direction (-z), therefore the current is supposed to be clockwise. However in the answers it is said the the current is anti clockwise. That doesn't make sense to me.

Is there a mistake in the answers?
 
Physics news on Phys.org
Your answer "clockwise" looks correct to me (assuming ##B_0## and ##\beta## are positive and assuming you're viewing from above the x-y plane.)
 
  • Like
Likes   Reactions: Eitan Levy and etotheipi
The induced current would oppose the change: so increase B in the -z direction. This is "clockwise" looking "down" at z (axial rotation vector in -z direction). Very clumsy nomenclature.
 
  • Like
Likes   Reactions: etotheipi and TSny
hutchphd said:
This is "clockwise" looking "down" at z (axial rotation vector in -z direction). Very clumsy nomenclature.

Besides the point, but related anyway, it did irritate me when my chemistry textbooks would just say an (+) enantiomer rotates the plane of polarisation clockwise, whilst a (-) enantiomer rotates the plane of polarisation anticlockwise. I mean, where are you viewing the beam from?!
 
And of course for the pedagogy it really didn't matter so long as you understood the existence of chirality. But agreed.
 
  • Like
Likes   Reactions: etotheipi

Similar threads

  • · Replies 6 ·
Replies
6
Views
1K
  • · Replies 1 ·
Replies
1
Views
2K
Replies
8
Views
2K
  • · Replies 2 ·
Replies
2
Views
3K
Replies
4
Views
1K
Replies
11
Views
3K
  • · Replies 7 ·
Replies
7
Views
1K
  • · Replies 7 ·
Replies
7
Views
3K
Replies
10
Views
2K
Replies
5
Views
2K