Diagonalizing a (dimensionless) Hamiltonian

  • Thread starter Thread starter Cocoleia
  • Start date Start date
  • Tags Tags
    hamiltonian
Click For Summary
SUMMARY

The discussion centers on the process of diagonalizing a dimensionless Hamiltonian in quantum mechanics. Participants clarify that the diagonalization involves expressing the position operator ##x## in terms of the annihilation operator ##a## and the creation operator ##a^\dagger##. The extra term in the Hamiltonian requires careful manipulation to maintain the correct operator relationships. Understanding these relationships is crucial for successful diagonalization.

PREREQUISITES
  • Quantum mechanics fundamentals
  • Operator algebra in quantum mechanics
  • Knowledge of Hamiltonians and their properties
  • Familiarity with annihilation and creation operators
NEXT STEPS
  • Study the process of diagonalizing Hamiltonians in quantum mechanics
  • Learn about the role of annihilation and creation operators in quantum systems
  • Explore examples of Hamiltonians with additional terms
  • Investigate the implications of operator relationships in quantum mechanics
USEFUL FOR

Students and professionals in quantum mechanics, physicists working with Hamiltonians, and anyone interested in advanced quantum operator techniques.

Cocoleia
Messages
293
Reaction score
4
Homework Statement
Diagonalize using creation / annihilation operator methods
Relevant Equations
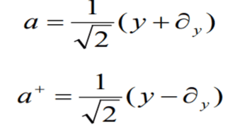
a = 1/sqrt2 (y+dy)
a- = 1/sqrt2(y-dy)
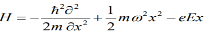
I am given this Hamiltonian:

1569433098658.png


And asked to diagonalize.
I understand how we do such a Hamiltonian:
1569433198308.png

But I don't understand how to deal with the extra term in my given Hamiltonian. Usually we use
1569433381178.png

To get
1569433403763.png
 
Physics news on Phys.org
Isn't it simply that you need to express ##x## in terms of ##a## and ##a^\dagger##?
 

Similar threads

  • · Replies 2 ·
Replies
2
Views
2K
Replies
1
Views
2K
  • · Replies 2 ·
Replies
2
Views
2K
Replies
5
Views
3K
Replies
9
Views
2K
  • · Replies 2 ·
Replies
2
Views
2K
  • · Replies 5 ·
Replies
5
Views
2K
  • · Replies 2 ·
Replies
2
Views
3K
  • · Replies 1 ·
Replies
1
Views
2K
Replies
2
Views
2K