Where Can I Find Information on the Total Molecular Hamiltonian?

Click For Summary

Homework Help Overview

The discussion revolves around the total molecular Hamiltonian, particularly in the context of polyatomic molecules as referenced in a physical chemistry textbook. Participants are exploring the components and definitions of the Hamiltonian, including electronic and nuclear contributions.

Discussion Character

  • Exploratory, Conceptual clarification, Problem interpretation

Approaches and Questions Raised

  • Participants are attempting to identify and clarify the terms within the Hamiltonian presented, discussing kinetic energy contributions and the attraction and repulsion between particles. Questions are raised about the implications of the Born-Oppenheimer approximation on these terms.

Discussion Status

The discussion is active, with participants providing insights into the structure of the Hamiltonian and referencing external resources. There is an ongoing examination of the definitions and components necessary for a complete understanding of the total molecular Hamiltonian.

Contextual Notes

Participants note the challenge of locating specific information in the textbook and the potential for missing details regarding the nuclear part of the Hamiltonian. The discussion also touches on the implications of approximations in quantum mechanics.

Mayhem
Messages
439
Reaction score
324
Homework Statement
Describe the total molecular Hamiltonian
Relevant Equations
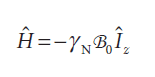
$$\hat{H} = -\frac{\hbar^2}{2m_e} \sum^{N_e}_{i=1} \nabla_i^2 -j_0 \sum^{N_e}_{i=1} \sum^{N_n}_{I=1} \frac{Z_I}{r_{Ii}}+\frac{1}{2}j_0 \sum^{N_e}_{i=j}\frac{1}{r_{ij}}$$
Hello.

As an assignment, I have to explain the total molecular Hamiltonian. Problem is, I can't find it anywhere in my book (Atkins, Physical Chemistry: Quanta, Matter, and Change, 2nd Edition), even when I access the index for "Hamiltonian -> polyatomic molecules". They do give the electronic Hamiltonian, which is $$\hat{H} = -\frac{\hbar^2}{2m_e} \sum^{N_e}_{i=1} \nabla_i^2 -j_0 \sum^{N_e}_{i=1} \sum^{N_n}_{I=1} \frac{Z_I}{r_{Ii}}+\frac{1}{2}j_0 \sum^{N_e}_{i=j}\frac{1}{r_{ij}}$$

Any pointers? If anyone has the book, and I overlooked something, a page reference would be nice, because I just can't find it.
 
  • Like
Likes   Reactions: Delta2
Physics news on Phys.org
You have to add the nuclear part plus spin (if needed) and other corrections.
 
dextercioby said:
You have to add the nuclear part plus spin (if needed) and other corrections.
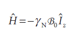
My book gives this definition of the hamiltonian in the context of nuclear spin. Does this look familiar?

1654079423259.png
 
Mayhem said:
My book gives this definition of the hamiltonian in the context of nuclear spin. Does this look familiar?

View attachment 302221
This is not what you are after.

Can you identify the terms in the Hamiltonian you posted?
Mayhem said:
$$\hat{H} = -\frac{\hbar^2}{2m_e} \sum^{N_e}_{i=1} \nabla_i^2 -j_0 \sum^{N_e}_{i=1} \sum^{N_n}_{I=1} \frac{Z_I}{r_{Ii}}+\frac{1}{2}j_0 \sum^{N_e}_{i=j}\frac{1}{r_{ij}}$$
 
DrClaude said:
This is not what you are after.

Can you identify the terms in the Hamiltonian you posted?
Yes. From terms left to right on the RHS:

1) describes the kinetic energy of the electrons. To elaborate, this is similar for the kinetic energy of one particle, except here we sum over all electrons (Ne), which each have a corresponding gradient dot product, which gives us the direction the particle is moving in.

2) Attraction to nuclei. Again summing over all electrons in the system, but also particles in the nucleus.

3) Mutual repulsion,
 
Mayhem said:
Yes. From terms left to right on the RHS:

1) describes the kinetic energy of the electrons. To elaborate, this is similar for the kinetic energy of one particle, except here we sum over all electrons (Ne), which each have a corresponding gradient dot product, which gives us the direction the particle is moving in.

2) Attraction to nuclei. Again summing over all electrons in the system, but also particles in the nucleus.

3) Mutual repulsion,
Correct. So what is missing is the equivalent of 1 and 3 for the nuclei.
 
  • Like
Likes   Reactions: Mayhem
DrClaude said:
Correct. So what is missing is the equivalent of 1 and 3 for the nuclei.
Using the Born-Oppenheimer approximation, wouldn't term 1 just equal 0? i.e. it has no kinetic energy relative to the rest of the system.
 
  • #10
Mayhem said:
Using the Born-Oppenheimer approximation, wouldn't term 1 just equal 0? i.e. it has no kinetic energy relative to the rest of the system.
First, you are looking for the full Hamiltonian, which is independent of of any approximation used to get manageable solutions to the time-independent Schrödinger equation.

Second, no, the kinetic energy term for the nuclei does not go away with the Born-Oppenheimer approximation. This term is where molecular vibrations and rotations will come from.

Writing the full wave function ##\Psi(\{\mathbf{R}\},\{\mathbf{r}\})## (function of the collection of the position of the nuclei and the electrons) as a function of a nuclear and an electronic wave function,
$$
\Psi(\{\mathbf{R}\},\{\mathbf{r}\}) = \psi_\mathrm{N} (\{\mathbf{R}\}) \psi_\mathrm{e} (\{\mathbf{r}\};\{\mathbf{R}\}),
$$
the B-O approx corresponds to neglecting terms in the Hamiltonian where ##\psi_\mathrm{e}## is differentiated with respect to ##\mathbf{R}## and vice versa. But derivatives of ##\psi_\mathrm{N}## with respect to ##\mathbf{R}## remain.
 

Similar threads

  • · Replies 13 ·
Replies
13
Views
3K
  • · Replies 0 ·
Replies
0
Views
3K
  • · Replies 14 ·
Replies
14
Views
3K
Replies
1
Views
2K
  • · Replies 4 ·
Replies
4
Views
2K
  • · Replies 1 ·
Replies
1
Views
2K
Replies
8
Views
3K
  • · Replies 1 ·
Replies
1
Views
2K
  • · Replies 5 ·
Replies
5
Views
2K
  • · Replies 7 ·
Replies
7
Views
3K