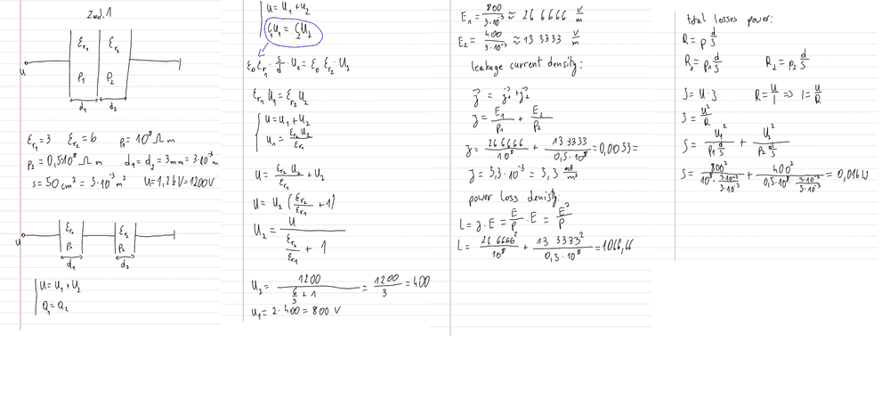
Dielectrics inside a parallel plate capacitor

polibuda
Messages
51
Reaction score
9
Homework Statement
Determine the leakage current density, power loss density and total losses
power in a two-layer parallel plate capacitor.
Relevant Equations
εr1=3, εr2=6
ρ1=108Ωm, ρ2=0,5108Ωm,d1=d2= 3 mm
s=50 cm^2
U=1,2kV
Could somebody check my solution?
 

Attachments

  • task.png
    task.png
    28.8 KB · Views: 192
Physics news on Phys.org
" ρ1=108Ωm, ρ2=0,5108Ωm,d1=d2= 3 mm"

Did you mean ρ1=108 Ωm, ρ2=0,5x108 Ωm? Then write that!
 

Similar threads

  • · Replies 6 ·
Replies
6
Views
2K
Replies
5
Views
2K
  • · Replies 18 ·
Replies
18
Views
3K
  • · Replies 8 ·
Replies
8
Views
2K
Replies
6
Views
1K
Replies
4
Views
2K
  • · Replies 10 ·
Replies
10
Views
1K
Replies
11
Views
3K
Replies
3
Views
2K
  • · Replies 20 ·
Replies
20
Views
4K