Direction of of the velocity vector for particles in a sound wave

Click For Summary

Homework Help Overview

The discussion revolves around the direction of velocity vectors for particles in a sound wave, exploring the relationship between displacement and particle motion within the context of wave behavior.

Discussion Character

  • Exploratory, Conceptual clarification, Mathematical reasoning

Approaches and Questions Raised

  • Participants discuss the potential for qualitative analysis versus detailed calculus-based approaches to determine velocity directions. Questions arise regarding the implications of displacement changes for particles near a specific point in the wave.

Discussion Status

Participants are actively engaging with each other's reasoning, providing feedback on analyses, and clarifying concepts related to displacement and velocity. There is recognition of correct reasoning, though some participants are still identifying minor errors in their expressions.

Contextual Notes

There is mention of a time interval affecting the waveform, and participants are considering the implications of increasing displacements on particle motion, with some confusion regarding the definitions of displacement as scalars or vectors.

vcsharp2003
Messages
915
Reaction score
179
Homework Statement
What would be the direction of velocity for particles close to ## x_1## and on either side of it as shown in the sound wave diagram below? The hollow dots show equilibrium positions of displaced particles. Solid dots are the displaced particles. The arrow shown against solid dots indicates the displacement direction from equilibrium position.

(The sound wave diagram is taken from University Physics by Sears and Zemansky)
Relevant Equations
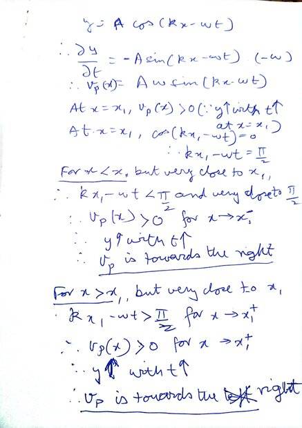
## y(x,t) = A \cos {(kx - wt)}##
## v_p (x) = \frac {\partial y} {\partial t}##
Using the equations mentioned under this question, I came up with following analysis and directions of velocities on either side of ##x_1##. Also, I'm not sure if there is an easier qualitative way to know the velocity directions rather than do a detailed Calculus based analysis?

Sound question answer.jpg


Sound waves as Pressure wave.JPG
 
Physics news on Phys.org
vcsharp2003 said:
if there is an easier qualitative way
Just consider what the graph will look like a moment later, as it shifts to the right. What does that imply for the change in displacements in the vicinity of ##x_1##?
 
  • Like
Likes   Reactions: vcsharp2003
haruspex said:
Just consider what the graph will look like a moment later, as it shifts to the right. What does that imply for the change in displacements in the vicinity of ##x_1##?

Below is what I have come up with. The dashed waveform is ##\delta t## time interval after the initial solid waveform.

##A##, ##A^{'}## and ##B##, ##B^{'}## are corresponding points on the waveform.
Particles ##P_1##, ##P_2## are the particles just before and after particle ##x_1##.

##P_1##'s displacement increases, so it must be going away from its equilibrium position i.e. towards the right.

##P_2##'s displacement also increases and therefore it's moving towards the left.

Does that look right?

IMG_20220304_142258__01.jpg
 
Last edited:
vcsharp2003 said:
##P_2##'s displacement also increases and therefore it's moving towards the left.
Displacements are scalars or vectors, but not magnitudes.
An increasing displacement here, perhaps from very negative to less negative, means moving to the right.
 
  • Like
Likes   Reactions: vcsharp2003
haruspex said:
Displacements are scalars or vectors,
I thought displacement is always a vector.
haruspex said:
An increasing displacement here means moving to the right.
You're right. Below is my reasoning.

The particle on right was initially displaced towards left with a negative displacement, but a moment later it's displacement will be less negative i.e displacement y increases with time and therefore it moved closer towards equilibrium position. This means it's moving towards right.

Was my Calculus based analysis correct since it gave correct results?
 
vcsharp2003 said:
Was my Calculus based analysis correct since it gave correct results?
Yes, but in a couple of places you have ##x_1## instead of x.
 
  • Like
Likes   Reactions: vcsharp2003
haruspex said:
Yes, but in a couple of places you have ##x_1## instead of x.
Ok. I couldn't find these errors. I'll keep looking.
 
haruspex said:
Yes, but in a couple of places you have ##x_1## instead of x.
Yes, I found it. The correct expression should have been ##kx-\omega t## and I have ##kx_1-\omega t## in a couple of places.
 

Similar threads

  • · Replies 4 ·
Replies
4
Views
3K
Replies
24
Views
11K
  • · Replies 4 ·
Replies
4
Views
3K
Replies
2
Views
4K
  • · Replies 4 ·
Replies
4
Views
3K
  • · Replies 23 ·
Replies
23
Views
6K
  • · Replies 1 ·
Replies
1
Views
2K
Replies
5
Views
2K
Replies
1
Views
2K
  • · Replies 9 ·
Replies
9
Views
9K