Displaying the dimensionless Radiation Transport Equation

  • Context: Graduate 
  • Thread starter Thread starter BigBoBy17
  • Start date Start date
  • Tags Tags
    Radiation Transport
Click For Summary
SUMMARY

The discussion centers on displaying the dimensionless Radiation Transport Equation (RTE) with specific parameters, including the Planck number, Prandtl number, and Rayleigh number. The user seeks assistance in properly scaling these variables, particularly temperature and length, while also addressing the scaling of time. Key insights include the need to define the heat flux vector, \mathbf{q}_R, in relation to temperature and its derivatives, which is crucial for accurate representation of the RTE.

PREREQUISITES
  • Understanding of dimensionless numbers in fluid dynamics, specifically the Planck, Prandtl, and Rayleigh numbers.
  • Familiarity with the Radiation Transport Equation (RTE) and its applications.
  • Knowledge of scaling laws in thermodynamics and fluid mechanics.
  • Ability to define and manipulate heat flux vectors in relation to temperature gradients.
NEXT STEPS
  • Research the derivation and significance of the Planck number in thermal radiation.
  • Study the implications of the Prandtl number on heat transfer and fluid flow.
  • Explore the Rayleigh number's role in buoyancy-driven flow and stability analysis.
  • Learn about scaling techniques in the context of the momentum equation and its impact on the RTE.
USEFUL FOR

Researchers and engineers in thermal dynamics, fluid mechanics, and anyone involved in modeling radiation transport phenomena.

BigBoBy17
Messages
1
Reaction score
0
TL;DR
Display the Radiation Transport Equation dimensionless
Hallo,
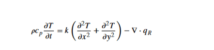
I would like to display the RTE (Radiation Transport Equation) dimensionless. In the picture, the RTE is shown. I would like to have the Planck number (or N) inside at the end. Additionally, the Prandtl number and the Rayleigh number can be inside. I have already many attempts behind me, but I do not get it. Could someone help me and explain it to me? I would be very grateful.
RTE.png

Boby
 

Attachments

  • RTE.png
    RTE.png
    3.2 KB · Views: 150
Science news on Phys.org
How are you scaling the variables? I assume temperature scales with [itex]T_{\mathrm{ref}}[/itex] and lengths with [itex]L[/itex]; that leaves the question of how you scale time. As you mention Rayleigh and Prandtl numbers, this scaling presumably comes from the momentum equation, which you haven't included in your post.

How do you define [itex]\mathbf{q}_R[/itex] in terms of [itex]T[/itex] and its derivatives?
 

Similar threads

  • · Replies 4 ·
Replies
4
Views
2K
  • · Replies 3 ·
Replies
3
Views
2K
  • · Replies 3 ·
Replies
3
Views
1K
  • · Replies 2 ·
Replies
2
Views
3K
  • · Replies 15 ·
Replies
15
Views
7K
  • · Replies 1 ·
Replies
1
Views
2K
  • · Replies 11 ·
Replies
11
Views
3K
  • · Replies 9 ·
Replies
9
Views
8K
  • · Replies 26 ·
Replies
26
Views
4K
  • · Replies 1 ·
Replies
1
Views
2K