Draw Nyquist Plot By Hand: Learn How to Determine Stability

  • Thread starter Thread starter Bypass
  • Start date Start date
  • Tags Tags
    hand Plot
Click For Summary

Discussion Overview

The discussion revolves around the process of drawing a Nyquist plot for a given transfer function and determining the stability of a closed-loop system based on that plot. Participants explore the mathematical steps involved in substituting variables and calculating key points for the plot.

Discussion Character

  • Exploratory
  • Technical explanation
  • Mathematical reasoning

Main Points Raised

  • One participant attempts to derive the Nyquist plot by substituting jω for s in the transfer function and expresses uncertainty about the real intercept when ω approaches infinity.
  • Another participant provides a corrected form of the transfer function after substitution and suggests calculating complex values for specific ω values to plot points on the Nyquist plot.
  • A later reply emphasizes the challenge of plotting every point that encircles the right half-plane (RHP) of the S-Plane and asks for guidance on key points to plot for stability analysis.
  • Another participant suggests a method of selecting ω values incrementally, indicating a trial-and-error approach to find suitable points for plotting.

Areas of Agreement / Disagreement

Participants do not reach a consensus on the method for determining key points for the Nyquist plot or the interpretation of the real intercept. Multiple approaches and uncertainties remain in the discussion.

Contextual Notes

There are unresolved mathematical steps regarding the calculation of intercepts and the selection of ω values for plotting. The discussion reflects varying levels of understanding and different strategies for approaching the problem.

Who May Find This Useful

This discussion may be useful for students or practitioners in control systems engineering, particularly those interested in Nyquist stability criteria and graphical analysis techniques.

Bypass
Messages
2
Reaction score
0
I am trying to understand how to draw nyquist plot.
Lets say the transfer function is
G1Dqr.jpg

Subbing in jω for s,

Z1S5b.jpg
***Note: should be (jw)^4 , (jw)^3, (jw)^2

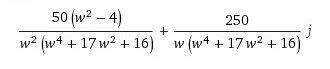
Then separating the Real and Imaginary part,

yvAZD.jpg

So when
w = 0, in the nyquist plot it is infinity
w = infinity, it is 0
Imaginary intercept is 1.25
For real intercept I am not sure. Since imaginary part is 0 only when w is infinity, i plug in infinity for w in real part. Would the real intercept be infinity or 0? It would be infinity/infinity but numerator is lower order than higher order so would it be 0 instead?

In any case, how am i supposed to plot the rough nyquist plot or at least be able to determine the stability using these 4 points?

In Matlab the Nyquist plot comes out like this
eB4Zn.jpg
 

Attachments

  • G1Dqr.jpg
    G1Dqr.jpg
    1.4 KB · Views: 481
Last edited:
Engineering news on Phys.org
Sorry, I cannot see what you are doing. You have:

G1Dqr.jpg

Substituting s with jω, you should get:

50 / ( ( jω )4 + 5( jω )3 + 4( jω )2 ) =

50 / ( ω4 - j5ω3 - 4ω2 )

Now, choose a ω and calculate the complex value of the denominator. Do the division and plot the result.

Example: ω=1 → point = ( -4.412 + j7.353 )
 
Last edited:
Hesch said:
Sorry, I cannot see what you are doing. You have:

G1Dqr.jpg

Substituting s with jω, you should get:

50 / ( ( jω )4 + 5( jω )3 + 4( jω )2 ) =

50 / ( ω4 - j5ω3 - 4ω2 )

Now, choose a ω and calculate the complex value of the denominator. Do the division and plot the result.

Example: ω=1 → point = ( -4.412 + j7.353 )

Sorry about that, just a typo. But it is not possible to plug in every single point that encircles the RHP of S-Plane to see how many times the nyquist plot encircles -1 to determine the stability. So my question is what are some key points that I need to plot so I can determine stability of a closed loop system.
 
Try ω = 1, 2, 3, 4 . . . .

If distances are to small then continue: . . . . 8, 16, 32

If distance is to large between ω=2 and ω=3, then try ω=2.5. It's a "cut and try" process.
 

Similar threads

  • · Replies 1 ·
Replies
1
Views
3K
  • · Replies 3 ·
Replies
3
Views
2K
  • · Replies 1 ·
Replies
1
Views
2K
  • · Replies 2 ·
Replies
2
Views
7K
Replies
2
Views
2K
  • · Replies 14 ·
Replies
14
Views
9K
  • · Replies 3 ·
Replies
3
Views
5K
Replies
1
Views
2K
  • · Replies 3 ·
Replies
3
Views
3K
Replies
7
Views
5K