How transfer functions become Bode plots

Click For Summary

Discussion Overview

The discussion revolves around the mathematical procedures involved in converting transfer functions into Bode plots, specifically focusing on the logarithmic transformations required for both gain and phase representations. The scope includes theoretical aspects and homework-related inquiries.

Discussion Character

  • Homework-related
  • Technical explanation
  • Debate/contested

Main Points Raised

  • One participant questions the process of taking logs of transfer functions to derive Bode plots, noting the difference between using natural logarithms and logarithms base 10 for magnitude and phase.
  • Another participant suggests that using decibels for amplitude and radians or degrees for phase is common practice, indicating that the log base 10 factor may not be practical.
  • A participant mentions that for a first-order function, the slope should be 6 dB/octave, correcting a previous claim of 3 dB/octave.
  • There is an acknowledgment that the relationship between power and amplitude squared is relevant to the discussion of slopes in Bode plots.

Areas of Agreement / Disagreement

Participants express differing views on the appropriate logarithmic transformations for Bode plots, and there is a correction regarding the slope of first-order functions, indicating a lack of consensus on some aspects of the conversion process.

Contextual Notes

The discussion includes assumptions about the definitions of logarithmic scales and the implications of using different bases for logarithms, which remain unresolved. The mathematical steps connecting transfer functions to Bode plots are not fully detailed.

kostoglotov
Messages
231
Reaction score
6

Homework Statement



I have a question related to taking the logs of transfer functions, getting the individual Bode plots of each subsequent factor, and adding those plots graphically.

I'm working from Fundamentals of Electric Circuits, 5th edt. Let me start with the following screen capture.

NOqNK69.png


imgur link: https://i.imgur.com/NOqNK69.png

Homework Equations



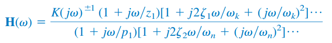
Transfer function standard form:

24GBArb.png


imgur link: https://i.imgur.com/24GBArb.png

The Attempt at a Solution



I can see how taking the natural log spits out the phase, but isn't the Bode plot created from taking the decibel measure, ie, multiply by 20 the log base 10 of the transfer function.

This would produce:

[tex]log_{10}(H) + j\phi log_{10}(e)[/tex]

the imaginary part of that is [itex]\phi log_{10}(e)[/itex], not [itex]\phi[/itex].

So I thought maybe we use log base 10 to get the decibel magnitude by taking the real part of that, and then get the phase by taking the natural log and taking only the imaginary part.

Which would make sense to me since it is convenient to use decades on the frequency axis for the magnitude vs frequency plot, but I also noticed that the phase vs. frequency plot also uses decades on the frequency axis...

What exactly is the mathematical procedure that bridges the conversion of the transfer function into the two Bode plots; gain vs freq and phase vs freq ?
 
Physics news on Phys.org
Hi there,

It's just a matter of establishing the vertical scale. dB for the amplitude and radians or degrees for the phase is pretty common and legible. the ##\log_{10}## factor isn't practical.

Using a logarithmic scale for the frequency makes sense: in general a characteristic spans serveral decades and the limiting behaviour shows up as a straight asymptote: ##\ \pm##3 dB/octave (or 20 /factor 10) for a first order and double for a second order.
 
  • Like
Likes   Reactions: kostoglotov
BvU - if I am not wrong we have for a first order function a slope of 6dB/octave (not 3dB/octave).
 
  • Like
Likes   Reactions: BvU
LvW said:
BvU - if I am not wrong we have for a first order function a slope of 6dB/octave (not 3dB/octave).
Absolutely correct. Something with power ##\propto## amplitude squared. My bad. See the examples
 

Similar threads

  • · Replies 3 ·
Replies
3
Views
3K
  • · Replies 1 ·
Replies
1
Views
4K
  • · Replies 8 ·
Replies
8
Views
4K
  • · Replies 4 ·
Replies
4
Views
8K
Replies
2
Views
2K
  • · Replies 3 ·
Replies
3
Views
4K
  • · Replies 4 ·
Replies
4
Views
5K
Replies
2
Views
2K
Replies
6
Views
4K
  • · Replies 3 ·
Replies
3
Views
3K