Dynamics Problem: Determine Velocity and Acceleration of Rigid body

Click For Summary
SUMMARY

The discussion focuses on determining the velocity and acceleration of a rigid body using the equations v=rw and a=rw², with specific values of omega=40°, w=4 rad/s, and alpha=2 rad/s². The approach of using the instantaneous center of rotation is deemed valid for velocity but not for acceleration. Participants emphasize the importance of differentiating the coordinates of points as functions of the angle to obtain accurate results and highlight the necessity of applying both the product and chain rules in differentiation for comprehensive analysis.

PREREQUISITES
  • Understanding of rigid body dynamics
  • Familiarity with angular velocity and acceleration concepts
  • Knowledge of differentiation techniques, specifically product and chain rules
  • Basic grasp of coordinate systems in physics
NEXT STEPS
  • Study the application of the product rule in differentiating velocity and acceleration
  • Learn about the instantaneous center of rotation in rigid body motion
  • Explore the relationship between angular and linear motion in rigid bodies
  • Investigate advanced techniques for analyzing motion in constrained systems
USEFUL FOR

Students and professionals in mechanical engineering, physics enthusiasts, and anyone involved in analyzing the dynamics of rigid bodies.

owlwise2010
Messages
2
Reaction score
0
Homework Statement
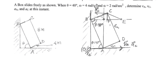
Determine Velocity and Acceleration of Rigid body: omega=40 w=4rad/s alpha=2rad/s2
Relevant Equations
v=rw
a=rw2
Hello,

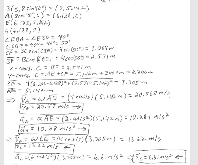
Wanted to know if this was the correct approach to solve this example. I uploaded the question along with an attempt.

Thanks in advance.
 

Attachments

  • Question.PNG
    Question.PNG
    12.6 KB · Views: 353
  • Attempted (2).PNG
    Attempted (2).PNG
    36.2 KB · Views: 362
Physics news on Phys.org
owlwise2010 said:
Problem Statement: Determine Velocity and Acceleration of Rigid body: omega=40 w=4rad/s alpha=2rad/s2
Relevant Equations: v=rw
a=rw2

if this was the correct approach
It is a valid approach for the speeds, but I think it is easier to get them by writing the coordinates of the points as functions of the angle and differentiating.
I get a different value for CE.

But you cannot use this instantaneous centre of rotation approach for the acceleration.
 
  • Like
Likes   Reactions: collinsmark
owlwise2010 said:
Problem Statement: Determine Velocity and Acceleration of Rigid body: omega=40 w=4rad/s alpha=2rad/s2
Relevant Equations: v=rw
a=rw2

Hello,

Wanted to know if this was the correct approach to solve this example. I uploaded the question along with an attempt.

Thanks in advance.
Throughout this post I'm assuming that point A is constrained to the x-axis and point B is constrained to the y-axis.

Here are a few things to consider:

If we take the numerical figures given at face value, with [itex]\theta = 40^o[/itex] and [itex]\omega = 4 \ \mathrm{\frac{rad}{sec}}[/itex], and assuming [itex]\omega[/itex] is defined as the time derivative of [itex]\theta[/itex], it means that [itex]\theta[/itex] is increasing, not decreasing. The block is not sliding down by gravity under its own volition, rather it is being shoved up against the wall! It means point A is moving to the left, not the right. At least that's true if we take the given figures at face value. If instead the box were sliding down, [itex]\omega[/itex] should be negative.

Although point C is constrained, it's not constrained to the x-axis. In other words, point C's position, [itex]v_C[/itex] and [itex]a_C[/itex] all have both x- and y-components.

Acceleration is kind of tricky here. There is acceleration not just due to the box's rotation, but also the box's translation. Be prepared to use the product rule differentiating the velocity to obtain the acceleration, as this should make it relatively straightforward -- proper use of the product rule takes care of the rotational vs. translational distinction automatically.

Follow @haruspex's advice. It's good advice. :smile:

[Edit: Although I didn't mention it, you will need to use the chain rule when differentiating too.]
 
Last edited:

Similar threads

  • · Replies 10 ·
Replies
10
Views
3K
  • · Replies 14 ·
Replies
14
Views
2K
  • · Replies 12 ·
Replies
12
Views
2K
  • · Replies 4 ·
Replies
4
Views
2K
  • · Replies 3 ·
Replies
3
Views
2K
  • · Replies 4 ·
Replies
4
Views
2K
  • · Replies 3 ·
Replies
3
Views
2K
Replies
10
Views
1K
  • · Replies 12 ·
Replies
12
Views
1K
  • · Replies 11 ·
Replies
11
Views
2K