Ed Witten on Symmetry and Emergence

  • Context: Graduate 
  • Thread starter Thread starter king vitamin
  • Start date Start date
  • Tags Tags
    emergence Symmetry
Click For Summary

Discussion Overview

The discussion centers around Ed Witten's article on the nature of global symmetries in physics beyond the Standard Model, particularly focusing on their approximate and emergent characteristics at low-energy scales and their potential violation at higher energy scales such as GUT and Planck scales. Participants explore the implications of these ideas for gauge and global symmetries, measurement theory, and the conceptual framework of quantum field theory (QFT).

Discussion Character

  • Exploratory
  • Technical explanation
  • Conceptual clarification
  • Debate/contested
  • Mathematical reasoning

Main Points Raised

  • Witten argues that global symmetries are approximate and emergent at low-energy, suggesting that only gauged interactions should have conservation laws at higher energy scales.
  • Some participants question the clarity of Witten's distinction between global and gauge symmetries, particularly regarding their action on physical observables.
  • A participant proposes a perspective that relates emergent symmetries to the internal state of observers, suggesting that gauge symmetries reflect the structure of the system rather than being mere mathematical redundancies.
  • Concerns are raised about the meaning of "operator dimension" in the context of QFT, with discussions on how operators relate to the dimensions of units and renormalizability.
  • Another participant notes that electric charge, as a symmetry, derives from gauge theory and suggests that Witten's definition of global symmetry excludes charges associated with gauge groups.
  • There is a discussion about the implications of non-renormalizable theories and how they relate to the violation of global symmetries, with some arguing that operators with dimension greater than four should be included in acceptable theories.

Areas of Agreement / Disagreement

Participants express differing views on the interpretation of global versus gauge symmetries, the implications of operator dimensions, and the nature of emergent symmetries. There is no consensus on these topics, and multiple competing views remain throughout the discussion.

Contextual Notes

Participants acknowledge limitations in their understanding of QFT and the complexities involved in discussing operator dimensions and renormalizability. The discussion reflects a range of interpretations and assumptions that are not fully resolved.

  • #31
All this disagreement and confusion about the status of "gauge symmetry" is really puzzling. So many smart people say things that are simply not true, at least not in general. In addition to the guys mentioned above, other prominent example would be Arkani-Hamed, who also likes to stress that gauge symmetries are not physical and merely redundancies, c.f. https://arxiv.org/abs/1612.02797 or Guidice, who in his last paper writes: "Gauge symmetry is the statement that certain degrees of freedom do not exist in the theory. This is why gauge symmetry corresponds only to as a redundancy of the theory description".

Without a careful and precise definition of what they mean by "gauge symmetry" these statements simply do not have any meaning. This is really the main problem that causes all this confusion: people talk about gauge symmetry without defining exactly what they mean by that word.

For some the global group is a subgroup of the local $U(1)$ gauge symmetry. This is possible if you define all transformation of the form $e^{i \alpha_a (x) T_a}$, with arbitrary functions $\alpha_a (x)$ as local gauge transformations. Global symmetry is then a special case where the function $\alpha(x)$ that parametrizes the local transformation happens to be constant. This is a naive definition that is repeated in many textbooks and believed by most students. With this definition, gauge symmetry is, of course, not just a redundancy but physical. It's physical effects are the conservation of electrical charge, the masslessness of the photon, the non-trivial QCD vacuum etc. Therefore, with this naive definition, the statements of Witten and Schwartz quoted above do not make sense. However, it's hard to tell what they really mean. Apparently they do not use this naive definition, but they do not specify any other definition. This is a problem because there is no canonical more precise definition.

As soon as you no longer want to use the naive definition, you run into a big problem: apparently there are as many other definitions as there are authors.
  • For example, Urs prefers the notion "gauge symmetry" for the compactly supported symmetries, and "gauge-parameterized gauge symmetry". for all other.
  • Other authors, like Strominger, call the "compactly supported symmetries" "trivial gauge symmetries". The group of all gauge transformations modulo the trivial ones is then called "asymptotic gauge group".
  • I'm pretty sure that, at least some, of the "Generalized Global Symmetries" by Davide Gaiotto, Anton Kapustin, Nathan Seiberg, Brian Willett are just another incarnation of Strominger's asymptotic symmetries.
  • For another even different definition see, e.g. https://arxiv.org/abs/1405.5532, where the local symmetry is defined as a collection of infinitely many global ones. However, the difference between these global gauge transformations and the "real" global ones is that the correct global gauge group is realized linearly, while the others are not and therefore broken. (Gauge bosons are then the Goldstones of this symmetry breaking.)
(I could add lots of other examples to this list).

So to summarize:
  1. Talking about the meaning of gauge symmetries makes absolutely no sense unless you specify precisely what you mean.
  2. There is a real need for some kind of dictionary that translates between all these different approaches to make the definition of gauge symmetries more precise.
 
  • Like
Likes   Reactions: Demystifier and Urs Schreiber
Physics news on Phys.org
  • #32
Exactly.

jakob1111 said:
For example, Urs prefers the notion "gauge symmetry" for the compactly supported symmetries, and "gauge-parameterized gauge symmetry". for all other.

Actually in the above discussion I did say "gauge symmetry" for "gauge-parameterized gauge symmetry", since that is really what we mean when we say "gauge theory" (as opposed to when we speak more generally about Lagrangian field theories).

But the difference between these definitions, while important for the fine print, is not actually relevant for just seeing that there is a problem at all, that it is in general wrong to say (or even to think) that "gauge symmetry is just a redundancy": Simply consider something like Chern-Simons theory on a closed, hence compact, 3-manifold. Then the condition of "compact support" becomes automatic, and hence then no matter which definition is used, one concludes that there is more than one gauge transformation relating any field configuration and/or state, and hence the space of configurations or states modulo gauge symmetries is a groupoid or stack with non-trivial isotropy, and this is more information than the naive quotient space which reflects the "is just a redundancy" idea.
 
  • #33
We can see that several approach this from the mathematical theory side, and make excellent contributions here! Regardless of our main areas, I think most of us has experience with both the mathematics, logic or applied mathematics side as well as physics side and some other life sciences, and has observed that the fields sometimes requires different mindsets or approaches. My experience is that a lot of mathematicians that work on applied physiscs, do so with a personal motivation slightly different that some physicists. Physicists are admittedely more sloppy and informal, or philosophical so they can focus on what they are building, rather than "respecting" the tools they use. But occasionally physicists happened to actually deform the tools and create new tools, without thinking about it. Some mathematicians feel frustration about these attitudes and feels like they have to take responsibility and make this properly. I just know from from personal relations. You can also feel this yourself, whenever you deep dive into matehematics, and proof thinking where you need to trace it all to axioms vs the sometimes more free philosophical creativity that is required to UNDERSTAND soem things in physics. Or to create for yourself what we called "mental picture".

Anyway, what i wanted to say here, is that as at the core of these discussions are a bunch of the open problems in physics, and such things can not be phrased merely as a axiomatic or mathematical terms. Its not like the question here is like, howto prove a conjecture theory from some axioms. To take the logical perspective i think it more has to do with either extenting the axioms on which theory are built, without adding inconsistencies, butit might well end up so that we need to replace some axioms!

I added fuzzy comments to this thread just to encourage the conceptual understanding.

To me the observation is this: Gauge theory and various symmetry princiiples has obviously been extremelt successful, and is at the heart of modernt physics. Why is this? Yet there seems this procedure seems to have hard time to solve some of the current open problems. Why is this?

Can we find a different angle or twist to this successful procedure, that helps us forward? That the question i have in mind when reading this thread.

That said, it is of course important to once things are mature, axiomatise and clean up the theory. I think axiomatising theories often really helps to understand the core of the theory (the axioms), you can then ponder on the one by one though by mapping the axioms to physical postulats like sometimes is done in QM for example. I think Urs insight thread about QFT is awesome work and great contributions on here.

I just feel that it is easy to sterilize discussions by insisting on the axiomatic style approach in the phase where one ponders about possible new schemas or paradigms?

I think if we can have both in parallelll that is the best of both worlds?

/Fredrik
 
  • #34
Fredrik,

reading your comment about different "mindsets" I was immediately reminded of the following quote by Tony Zee:

"Indeed, a Fields Medalist once told me that top mathematicians secretly think like physicists and after they work out the broad outline of a proof they then dress it up with epsilons and deltas. I have no idea if this is true only for one, for many, or for all Fields Medalists. I suspect that it is true for many."

Oftentimes, to make huge steps forward you need to be a bit sloppy. Only if you do incremental research you can do everything rigorous all the time. Nevertheless, before you try a huge leap forward you should have a firm understanding of the current theory.

Fra said:
To me the observation is this: Gauge theory and various symmetry princiiples has obviously been extremelt successful, and is at the heart of modernt physics. Why is this? Yet there seems this procedure seems to have hard time to solve some of the current open problems. Why is this?

I think the answer to this question is well known. Gauge symmetries appear because we want to describe particles with spin using fields. Particle transform according to little groups, while fields are representations of the Poincare group. Hence, fields carry too many degrees of freedom. These superfluous degrees of freedom are what we call gauge symmetry. While gauge symmetry certainly can't solve all the open problems, they can indeed solve a lot of them. If you replace the standard model symmetry with a simple group like SO(10), you get almost automatically an explanation for:

  • the different strength of the standard model forces
  • the tiny masses of the neutrinos
  • the baryon asymmetry.
So, the explanatory power of gauge symmetry is still not exhausted. If one day proton decay is observed, lots of problems of the standard model vanish automatically.

However, of course, for other problems you have to look elsewhere.

Fra said:
I just feel that it is easy to sterilize discussions by insisting on the axiomatic style approach in the phase where one ponders about possible new schemas or paradigms?

I'm a sloppy physicist by heart. However, there are certain topics where a bit more rigor would be tremendously helpful. Gauge symmetry is probably the best example. The main problem, as already mentioned above, is that those people who try to work things out more rigorously are often not able to communicate in a way that "normal" - whatever that means - physicists can understand.

Fra said:
I think if we can have both in parallel that is the best of both worlds?

So I would like to add that we not only need both worlds, but also translators who are capable of mediating between the worlds.
 
  • Like
Likes   Reactions: eloheim and Fra
  • #35
I pretty much agree with what out you said! I just felt i wanted to throw that out.
jakob1111 said:
I think the answer to this question is well known. Gauge symmetries appear because we want to describe particles with spin using fields. Particle transform according to little groups, while fields are representations of the Poincare group. Hence, fields carry too many degrees of freedom. These superfluous degrees of freedom are what we call gauge symmetry...
On this part though, i do not quite find your answer satisfactory. Its not that what you write is wrong, and maybe its because I secretly have something else in mind. What you write here is still living within a context with a lot of baggge, a lot of which is not conceptually clear to me at least.

/Fredrik
 
  • #36
king vitamin said:
Ed Witten posted an interesting article on arXiv a few days ago on the fate of global symmetries in physics beyond the Standard Model. You can read it here.

In particular, Witten argues that the global symmetries of the Standard Model are all approximate and emergent at low-energy, and they should be violated at the GUT and Planck scales. In particular, a quantum gravity theory should only contain conservation laws associated with gauged interactions. The arguments are likely familiar to experts, but I thought it was a nice and short self-contained lecture on the idea.

Most interesting paragraph in witten paper is the following:

"We can see the relation between gauge symmetry and global symmetry in another way if we imagine whether physics as we know it could one day be derived from something much deeper – maybe unimaginably deeper than we now have. Maybe the spacetime we experience and the particles and fields in it are all “emergent” from something much deeper."

If gauge symmetry is emergent.. What could be the properties or characteristic of this more fundamental field by extrapolation (do you still call it field?) that create our gauge symmetry? What do Witten and other genius think about this? Since gauge symmetry is connected directly to the wave function.. does it mean the more fundamental nongauge primary field (or whatever) is not based on wave function (or QFT)?
 
  • Like
Likes   Reactions: Jimster41
  • #37
star apple said:
If gauge symmetry is emergent.. What could be the properties or characteristic of this more fundamental field by extrapolation (do you still call it field?) that create our gauge symmetry? What do Witten and other genius think about this? Since gauge symmetry is connected directly to the wave function.. does it mean the more fundamental nongauge primary field (or whatever) is not based on wave function (or QFT)?
Yes this is the key. I can only guess, but the probable idea that fits in string thery is bulk dimensionality is emegent from boundaries. And there new symmetries form. This need to be phrased without starting from 4d continium spacetime baggage.

star apple said:
For those so tired of pondering quantum interpretations. It is refreshing to instead ponder on interpretations of gauge symmetry.. lol..
Ironically if you read my post#5 the two problems are initimatly related :)

The connection is motivated by

Gsuge equivalence ~ observer equivalence

In the laws of physics should be the same to all observers. This is easy to agree with but if you thimk again about the physicsl inferences look like... you may see (or at least i do) that this should be understood as a vision (or equilibrium point) NOT as as logical constraint.

Another way: observer equivalence is not a fundamental constraint in evolving law - it is merely an attractor.

/Fredrik
 
  • #38
Fra said:
Yes this is the key. I can only guess, but the probable idea that fits in string thery is bulk dimensionality is emegent from boundaries. And there new symmetries form. This need to be phrased without starting from 4d continium spacetime baggage.

Ah.. ok. i'll read in more details the papers of Urs and Demystifier. Besides boundaries.. no other candidate? how about not related to string theory?

Ironically if you read my post#5 the two problems are initimatly related :)

The connection is motivated by

Gsuge equivalence ~ observer equivalence

In the laws of physics should be the same to all observers. This is easy to agree with but if you thimk again about the physicsl inferences look like... you may see (or at least i do) that this should be understood as a vision (or equilibrium point) NOT as as logical constraint.

Another way: observer equivalence is not a fundamental constraint in evolving law - it is merely an attractor.

/Fredrik

If this is important. How come no other physicists worrying about this. And looking at archives and over the years you seemed to be the only one mentioning it and because you use language that is getting more complex.. I wonder if other physicists here can get a basic of what you were describing so hope you write a paper that gives fundamental and basic introduction to it starting with general relativity, qm and how the observers vary amongst them. Witten should worry about this if it's really important. Or maybe they are using another language, what is the language and jargon they use? I'm asking this because f feel what you were saying is important about the role of observers in GR and QM and how even the observer role in them are not compatible. Thanks.
 
  • #39
star apple said:
how about not related to string theory?.
Conceptually this is not dependent on string theory. Its just that just to relate to other ideas to look for common denominators, rather than just find discriminators(which is usually easier but less constructive) i mentioned it. I think many research programs have merits! So why not try to see what we can learn from all of them?

And of course the bulk/boundary ideas, and specifically the holographic principle while in principle again having nothing todo with string theory, has probably is most explicit example in Ads/CFT. So associatiing to strings is natural.

Also interpreting what Witten says, in terms of string also seems natural.

(But myself does not work on string theory, but i still enjoy wittens ponderings of course)
star apple said:
If this is important. How come no other physicists worrying about this. And looking at archives and over the years you seemed to be the only one mentioning it
While a lot of people have been pondering over the observer and measurement problem over the years, i agree that the specific thinking i have in mind seems to be sparsely represented out there.

I have wondered why as well. One easy answer is course that i am the only one stupid enough to not see its wrong thinking.

Another answer is that i understand the resistance in this directin, because thinking this ways inavoidably LEADS you to the evolving law view. And this
strips us from many of existing tools.
star apple said:
I wonder if other physicists here can get a basic of what you were describing so hope you write a paper that gives fundamental and basic introduction to it starting with general relativity,
Thats the remote idea of course.

My ambition is to work this out, but due to the fact that this represents non-mainstream ideas there is no context where this really fits. This means partial results would appear completely ad hoc or disconnected to physics. The closest place where the ideas might fit is into AI research, but that is still the wrong place i feelI. It takes too much energy to try to "sell things" before they are done (thats the american way of marketing). I am better of using that energy to make progress, and once its done, there are no selling costs.

So I want to make a nontrivial prediction or postdicition before i will even consider publishing anything. Unfortunately that's close to an unrealistic goal for one man, that also have a regular job. There is one advantage though and that is that the slowly grown crystals are often more perfect than the fast growin ones. I am not in a hurry and the ride is enjoyable meanwhile!

/Fredrik
 
  • #40
Fra said:
Conceptually this is not dependent on string theory. Its just that just to relate to other ideas to look for common denominators, rather than just find discriminators(which is usually easier but less constructive) i mentioned it. I think many research programs have merits! So why not try to see what we can learn from all of them?

And of course the bulk/boundary ideas, and specifically the holographic principle while in principle again having nothing todo with string theory, has probably is most explicit example in Ads/CFT. So associatiing to strings is natural.

Also interpreting what Witten says, in terms of string also seems natural.

(But myself does not work on string theory, but i still enjoy wittens ponderings of course)

The only nongauge field is the higgs field. Is there a way to create a universe where electromagnetism doesn't come from gauge freedom where phase is the U(1).. or should all strings landscape or even smolin different black hole/universe with different laws of physics always have to reduce to gauge symmetry like U(1) of electromagnetism? What do you think? and Why? Why can't electromagnetism be like the Higgs field that is fundamental and doesn't come from gauge symmetry?

Also for that thing more fundamental or primary than gauge symmetry (which makes this emergy).. does it have to always occur in high energy (small scale)? Because electromagnetism is low energy and so can U(1) itself can derive from more fundamental nongauge low energy stuff or is this not possible because U(1) is always part of the Electroweak SU(2)XU(1) so whatever is more primary (than gauge symmetry) always have to be based on Electroweak and not merely on U(1)?

While a lot of people have been pondering over the observer and measurement problem over the years, i agree that the specific thinking i have in mind seems to be sparsely represented out there.

I have wondered why as well. One easy answer is course that i am the only one stupid enough to not see its wrong thinking.

Another answer is that i understand the resistance in this directin, because thinking this ways inavoidably LEADS you to the evolving law view. And this
strips us from many of existing tools.

What is the connection of the incompatibility of different observers in GR and GM to evolving law (stripping us of many of existing tools)? At least Smolin mentions it so at least you have company or it's based on an authority.

Thats the remote idea of course.

My ambition is to work this out, but due to the fact that this represents non-mainstream ideas there is no context where this really fits. This means partial results would appear completely ad hoc or disconnected to physics. The closest place where the ideas might fit is into AI research, but that is still the wrong place i feelI. It takes too much energy to try to "sell things" before they are done (thats the american way of marketing). I am better of using that energy to make progress, and once its done, there are no selling costs.

So I want to make a nontrivial prediction or postdicition before i will even consider publishing anything. Unfortunately that's close to an unrealistic goal for one man, that also have a regular job. There is one advantage though and that is that the slowly grown crystals are often more perfect than the fast growin ones. I am not in a hurry and the ride is enjoyable meanwhile!

/Fredrik
 
  • Like
Likes   Reactions: eloheim
  • #41
Fearing the discussing is diverging too much, i will try to keep the follow up short. As speculations arent allowed here.
star apple said:
What is the connection of the incompatibility of different observers in GR and GM to evolving law (stripping us of many of existing tools)? At least Smolin mentions it so at least you have company or it's based on an authority.
IMO the physical essence of gauge theory is the concept of "observer equivalence". Ie the law of physics "must"(or must they? see below) be the same to all observers. This constraint as a constructing implies the transformations EXPLAINING the "apparent" disagreements.

In SR and GR, when you apply this to two sub-classes of valid equivalent gedanken observers. However in classical physics the observers is imagined to be able to make gedanken experiments without interacting with the system. The "physics" is contained here in the entire equivalence classes and their internal relations.

QM improves this by describing the "PHYSICS of measurementprocess", not just imaging gedanken experiments, like you can go in classical physics. Also in QM, the gageu equivalences are not as always as CLEARLY interpreted as observer equivalence as they relate to "internal symmetries". But in the below these are unified. There is no principal difference. to understand how spacetime splits off from internal structurs is a different discussion.

However, the measurement process is only PART of the complete what i call inference process.

So howto combined these?

Now, if we try to understand the old contstraint of observer equivalence in terms of inference, what does this mean? That means to say that any observer "must" infer the same laws of physics. IF you think about this, you realize soon that this is not a logical constraint, and its not generally true. It rather corresponds to an kind of equilibrium, steady state or attractor point, where interacting observers are in supporting agreement. The scenario which they do not agree, means that they exert a kind of evolutionary selctive pressure to each other so as to - "revise or die". Ie. evolution. the concept of intertia in spacetime and internal spaces, also gets it unification here. In inference the correspondence of intertia is simply the confidence in the prior, that shows resistance to conflicting new information. In this view, there is now placeholder for timeless law - it is considered "speculative" in the strict inference view.

This is just brief description, as an answer to the question. A longer attemp at explanation would be wrong. Formally all i do here is to hint, and stimulate reflections in the direction. If the above doesn't give you a hint, then cross your fingers that i will be able to work this out an publish something.

/Fredrik
 
  • Like
Likes   Reactions: star apple
  • #42
Fra said:
Just keeping in mind that my perspective is to reconstruct measurement theory, i see another way to conceptualize this, that can motivate wittens vision not just be the historical arguments and notes from string theory, but from the point of view of constructing principles for a truly relational measurement theory.

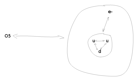
Then the logic of emergent symmetries can be interpreted as emerging in the internal state of the OBSERVER. If we insist that the process of observation and observers, is not anything different than physical interactions between the variety of systems. Then one can understand the "internal structure" of a system (say the hydrogen atom) from the point of view of the lab observer O5 as contain miniatures of Alice and Bob, or electron and quarks or however we label them. We can also name then just O1,O2,O3, ...

Here a gauge symmetry can be understood as emergent from the point of view of the O5, and this symmetry is inferrable by many experience where we for sample study the effect of "testobservers" that we inject into the system. Here we can see a particle accelerator as a way to "inject" test observers into the system of study. And in this view, I think it is deeply misleading to call gauge symmetris for MATHEMATICAL redundancy. I think of them as the freedom to consider ANY part of the systems as a "testobserver". This in fact reflects the INTERNAL structure of the system, and IMHO has nothing todo with mathematical redundancy. Beacase the specific form of mathematical redundancy has a physical origin.

Witten writes this thoughI think he was not cleary clear on the meaning of this. This point is where i have antoher perspective that to me follows from constructing principles.

Sorry for the silly picture but a quick improvised illuststration :D
View attachment 212897 '

This is not a litteral picture or any interaction diagrams, its just a conceptual picture of how the hierarchy of observations might actuall work conceptually. As we see threr are LAYERS here of observers and sub-observers. And symmetries depend on the level of where the observer sits. And if you adopt this picture, the vision of Witten that ONLY gauge interactions have a place in the fundamental theory, can be easily understood because its the only type of mechanism that has an explanatory value in the inferential perspective (ie if you take the instrumentalist interpretation to extreems, like i suggested here.

The non-gauge theory the inferentially corresponds to a non-inferrable symmetry, which explains why its typically approximate.

Another conclusion is that we here have a hiearchy of observers, which corresponds to energy scale. And the symmetries are emergent ONLY when parts interact.
The symmetry emerges in the observing systems internal structyre. At least its how i see it.

But if this interpretation proves right, then the strings themselves should also be emergent from something even deeper. Because it would break the consistency of reasoning to have all this nice stuff, but STARTING from the non-inferrable concept of string in embedded space. I also see this realted to the landscape problem.

/Fredrik

I was puzzled by this passage in Witten paper referenced in the first thread myself...

"To put it differently, global symmetry is a property of a system, but gauge symmetry in general
is a property of a description of a system. What we really learn from the centrality of gauge
symmetry in modern physics is that physics is described by subtle laws that are “geometrical.”
This concept is hard to define, but what it means in practice is that the laws of Nature are subtle
in a way that defies efforts to make them explicit without making choices. The difficulty of making
these laws explicit in a natural and non-redundant way is the reason for “gauge symmetry."


To others besides Fra, how do you understand the passage? What did Witten mean the centrality of gauge symmetry in modern physics is that physics is described by subtle laws that are “geometrical.”. He said the concept was hard to define and he only spent 2 sentences for it. At least a paragraph would be more descriptive.. kindly rewords what it means (or the way you understand it). Thanks.
 
Last edited by a moderator:
  • #43
star apple said:
I was puzzled by this passage in Witten paper referenced in the first thread myself...

"To put it differently, global symmetry is a property of a system, but gauge symmetry in general
is a property of a description of a system. What we really learn from the centrality of gauge
symmetry in modern physics is that physics is described by subtle laws that are “geometrical.”
This concept is hard to define, but what it means in practice is that the laws of Nature are subtle
in a way that defies efforts to make them explicit without making choices. The difficulty of making
these laws explicit in a natural and non-redundant way is the reason for “gauge symmetry."


To others besides Fra, how do you understand the passage? What did Witten mean the centrality of gauge symmetry in modern physics is that physics is described by subtle laws that are “geometrical.”. He said the concept was hard to define and he only spent 2 sentences for it. At least a paragraph would be more descriptive.. kindly rewords what it means (or the way you understand it). Thanks.

If no one really understands that passage of Witten either.. here's a simpler question.. what can serve as possible boundary/bulk in reality (in our actual universe).. can the boundary be located inside the Planck scale?
 
  • #44
star apple said:
here's a simpler question.. what can serve as possible boundary/bulk in reality (in our actual universe).. can the boundary be located inside the Planck scale?

I assume you mean an explicit example where both the bulk side and boundary side has a standard interpretation without exotic stuff?
I am not aware of any, because no standard things seems to have a natural interpretation as AdS, and this is the only bulk form where i think there is an explicit duality known? Someone correct me if i am wrong.

On one hand the principle is just a mathematical duality, where one version is easier to solve or work with.

But as such a mathematical tool, one need not worry about the physical reality of the dual side, no more than one need to worry about the physical basis of changing dependet varibles. Its just a computational trick, where the boundary version is more strongly coupled and harded to compute things with.

Here is a paper with a very pragmatic name.

AdS/CFT Duality User Guide
"...The AdS/CFT duality originated from string theory, so it had been discussed in
string theory. But the situation is changing in recent years, and AdS/CFT has been
discussed beyond theoretical particle physics. This is because AdS/CFT is be-
coming a powerful tool to analyze the “real-world.” Examples are QCD, nuclear
physics, nonequilibrium physics, and condensed-matter physics..."
-- https://arxiv.org/abs/1409.3575

And one the other hand one can't help but to ponder about if there is any conceptual generalized meaning of the principle. Geometrical interpretations is one thing, cool as it is, beeing the basis for a lot, it does not add anything to my intuition, because i do not think of reality in terms of geometry, that maybe einstein did. I seek an an inferential interpretation, as that is the task i see at hand.

IMO, i see the holographic (boundary) side of things as a compressed code, that is the result of trying to encode more information in the same physical memory capacity. Obviously a compressed code is more tricky to work with, having stronger and stranger couplings between parts, than the uncompressed version. So while the bulk version may be easier to work with - it takes up more storage. So there seems to be an interplay between computation complexity and a kind of compression. These two fight each other. This is also intutive for computer users. Sometimes you have to choose between space or speed. And in an inference perspective, both this things are important. There is also lots of research on these things which fringes to computer science, but few approaches make what i think are the right combination of things.

I think we need more cross-sub-discipline thinking to solve this, and some ideas unfortunately get stuck inbetween chairs.

/Fredrik
 
  • Like
Likes   Reactions: star apple
  • #45
Fra said:
Just keeping in mind that my perspective is to reconstruct measurement theory, i see another way to conceptualize this, that can motivate wittens vision not just be the historical arguments and notes from string theory, but from the point of view of constructing principles for a truly relational measurement theory.

Then the logic of emergent symmetries can be interpreted as emerging in the internal state of the OBSERVER. If we insist that the process of observation and observers, is not anything different than physical interactions between the variety of systems. Then one can understand the "internal structure" of a system (say the hydrogen atom) from the point of view of the lab observer O5 as contain miniatures of Alice and Bob, or electron and quarks or however we label them. We can also name then just O1,O2,O3, ...

Here a gauge symmetry can be understood as emergent from the point of view of the O5, and this symmetry is inferrable by many experience where we for sample study the effect of "testobservers" that we inject into the system. Here we can see a particle accelerator as a way to "inject" test observers into the system of study. And in this view, I think it is deeply misleading to call gauge symmetris for MATHEMATICAL redundancy. I think of them as the freedom to consider ANY part of the systems as a "testobserver". This in fact reflects the INTERNAL structure of the system, and IMHO has nothing todo with mathematical redundancy. Beacase the specific form of mathematical redundancy has a physical origin.

Witten writes this thoughI think he was not cleary clear on the meaning of this. This point is where i have antoher perspective that to me follows from constructing principles.

Sorry for the silly picture but a quick improvised illuststration :D
View attachment 212897 '

This is not a litteral picture or any interaction diagrams, its just a conceptual picture of how the hierarchy of observations might actuall work conceptually. As we see threr are LAYERS here of observers and sub-observers. And symmetries depend on the level of where the observer sits. And if you adopt this picture, the vision of Witten that ONLY gauge interactions have a place in the fundamental theory, can be easily understood because its the only type of mechanism that has an explanatory value in the inferential perspective (ie if you take the instrumentalist interpretation to extreems, like i suggested here.

The non-gauge theory the inferentially corresponds to a non-inferrable symmetry, which explains why its typically approximate.

Another conclusion is that we here have a hiearchy of observers, which corresponds to energy scale. And the symmetries are emergent ONLY when parts interact.
The symmetry emerges in the observing systems internal structyre. At least its how i see it.

But if this interpretation proves right, then the strings themselves should also be emergent from something even deeper. Because it would break the consistency of reasoning to have all this nice stuff, but STARTING from the non-inferrable concept of string in embedded space. I also see this realted to the landscape problem.

/Fredrik

Fra.. when only you described the above.. and because they are not peer reviewed.. naturally serious people would tend to not take serious interest in them. So honestly I didn’t take any serious look at it. But after rereading Lee Smolin Three Roads to Quantum Gravity.. I encountered the concept of Relational Quantum Theory.. and became very interested in all you had to say. At the end of Smolin book was written

· “The present formulation of quantum theory will turn out to be not fundamental
· “The present quantum theory will first give way to relational quantum theory, according to which “the quantum state of a particle, or any subsystem of the universe, is defined, not absolutely, but only in a context created by the presence of the observer”, and there is a “division of the universe into a part containing the observer and a part containing that part of the universe from which the observer can receive information
· Eventually, the new unifying theory of physics “will be reformulated as a theory about the flow of information among events.

Wiki described RQM as “The essential idea behind RQM is that different observers may give different accounts of the same series of events: for example, to one observer at a given point in time, a system may be in a single, "collapsed" eigenstate, while to another observer at the same time, it may appear to be in a superposition of two or more states. Consequently, if quantum mechanics is to be a complete theory, RQM argues that the notion of "state" describes not the observed system itself, but the relationship, or correlation, between the system and its observer(s). The state vector of conventional quantum mechanics becomes a description of the correlation of some degrees of freedom in the observer, with respect to the observed system.”

This makes a lot of sense. About your statement “Another conclusion is that we here have a hiearchy of observers, which corresponds to energy scale. And the symmetries are emergent ONLY when parts interact. The symmetry emerges in the observing systems internal structyre. At least its how i see it.”

Do you have any reference about this? I’d like to establish connections between Rovelli Relational Quantum Mechanics and Witten Symmetry and Emergence.

Lastly. There is something I can’t understand in Smolin book. He said “The final theory will be non-local, or, better extra-local, as space itself will come to be seen only as an appropriate description for certain kinds of universe, in the same way that thermodynamical quantitis such as heat and temperature are meaningful only as averaged descriptions of systems containing many atoms. The idea of ‘states’ will have no place in the final theory, which will be framed around the idea of processes and the information conveyed between modified within them.

I can’t understand the analogy. Does he equal space as like heat? What is he describing.. why would the final theory will be non-local? What is the context.. you know that when there non-local information transfer in SR, there would be frames that would go backward in time.. so how would his model handle this?
 
  • #46
Hello star apple!

Like i think i said beore the detailed proper explanations on this, are still open questions (to me as well, even thought i have a farily detailed vision to implement this) and due to forum rules i try my best to contribute and participate in some discussions and not merely quoting what others said(=publiched) already, but without crossing the lines.
star apple said:
Fra.. when only you described the above.. and because they are not peer reviewed.. naturally serious people would tend to not take serious interest in them. So honestly I didn’t take any serious look at it. But after rereading Lee Smolin Three Roads to Quantum Gravity.. I encountered the concept of Relational Quantum Theory.. and became very interested in all you had to say.
I think serious people TRY to make their own conclusion based on content. However in the ages of massive information flow, it is merely a survival strategy to filter out information. One efficient way to do that is to reject anything based on its source. I do this too, not because its "ideal" but out of necessity of limiting processing power.
star apple said:
· “The present formulation of quantum theory will turn out to be not fundamental
· “The present quantum theory will first give way to relational quantum theory, according to which “the quantum state of a particle, or any subsystem of the universe, is defined, not absolutely, but only in a context created by the presence of the observer”, and there is a “division of the universe into a part containing the observer and a part containing that part of the universe from which the observer can receive information
· Eventually, the new unifying theory of physics “will be reformulated as a theory about the flow of information among events.

Wiki described RQM as “The essential idea behind RQM is that different observers may give different accounts of the same series of events: for example, to one observer at a given point in time, a system may be in a single, "collapsed" eigenstate, while to another observer at the same time, it may appear to be in a superposition of two or more states. Consequently, if quantum mechanics is to be a complete theory, RQM argues that the notion of "state" describes not the observed system itself, but the relationship, or correlation, between the system and its observer(s). The state vector of conventional quantum mechanics becomes a description of the correlation of some degrees of freedom in the observer, with respect to the observed system.”

The ramp up to Rovellis reasoning on RQM is excellent, until a certain point, where is strongly disagree with hime. There is a nd old thread.https://www.physicsforums.com/threa...able-in-classical-and-quantum-gravity.220841/

There are a lot of other attemps to axiomatize QM that are partially in line with my thinking, but which has problems. Lucien Hardys spirit and some others from cox axioms by ariel caticha are sniffing the right way but looking for generalised inference or probability, but in my view the mistake in hardys axioms is that he is too lighlty in introduction the uncountable numbers and dimenstionality. Ariel does the same. I think there is an alternative way, where you go one step and just talke about complexions.

Let me think if i can add anything more without crossing any lines.
/Fredrik
 
  • Like
Likes   Reactions: star apple
  • #47
star apple said:
Lastly. There is something I can’t understand in Smolin book. He said “The final theory will be non-local, or, better extra-local, as space itself will come to be seen only as an appropriate description for certain kinds of universe, in the same way that thermodynamical quantitis such as heat and temperature are meaningful only as averaged descriptions of systems containing many atoms. The idea of ‘states’ will have no place in the final theory, which will be framed around the idea of processes and the information conveyed between modified within them.?

IMO, Smolins writing style is lenghty. In principle he could probably summarise the main points briefly in short paper, but i think smolins writing style is to first start with history to get the reader on the same page, in order to motivate the new ideas. This is motivated because apparently a lot of professional scientists does not seem to understand or want to understand why certain things are problematic. But for a reader that are already on the same page, and share the basic descriptions of the problems, smolins books are lenghty.

But i think what he says is that spacetime, is neither fundamental nor a universal background - it is emergent, and so is "state spaces". And at the point where spacetime itself starts to dissolve into something else, then so does "locality" in the traditional sense. I think this is essentially what it means. For this reason extralocal is a better word, to avoid peoeple thining we are violating relativity in its appropriate domain.

IMHO, what likely replaces the locality principle in a theory of inference - when 4D spacetime - as we know it, is undefined, is a principle of locality in an abstraction where an "inference" or computation is only affected by available data", you can even put this so that it becomes self-evident, and plausible as axioms, but the challenege is to connect to known physics... and to attach the abstractions to physical parameters such as time, mass, energy etc. So there are some gaps to fill in. This locality principle makes locality as referring to spacetime, a special case. But I am not aware of anyone that "cleanly" published anything the way i want it. This way locality is built-in. But its "locality" in a generalized sense.

/Fredrik
 
  • Like
Likes   Reactions: star apple
  • #48
Fra said:
IMO, Smolins writing style is lenghty. In principle he could probably summarise the main points briefly in short paper, but i think smolins writing style is to first start with history to get the reader on the same page, in order to motivate the new ideas. This is motivated because apparently a lot of professional scientists does not seem to understand or want to understand why certain things are problematic. But for a reader that are already on the same page, and share the basic descriptions of the problems, smolins books are lenghty.

But i think what he says is that spacetime, is neither fundamental nor a universal background - it is emergent, and so is "state spaces". And at the point where spacetime itself starts to dissolve into something else, then so does "locality" in the traditional sense. I think this is essentially what it means. For this reason extralocal is a better word, to avoid peoeple thining we are violating relativity in its appropriate domain.

In Witten Superstrings, spacetime is emergent from the dynamics of the strings even when the background is unknown (or even flat). It is the strings that create spacetime from spin 2 gravitons. Smolin is anti superstrings so I wonder why he would state it. Is it not Loop Quantum Gravity is all about background independence. Here spacetime is not emergent. Is there any further works where Smolin detailed about this emergent spacetime?

Superstrings would make a lot of sense if the strings themselves have hidden access to other dimensions. This is why superstrings is still very attractive.. but if Supersymmetry won't be detected by the LHC even up to 100 TeV. Can Superstings still be true? What you think and others about this. Can Superstrings still work if the Supersymmetry is near the Planck scale (I think Urs or Lubos talks about this I forgot where).

IMHO, what likely replaces the locality principle in a theory of inference - when 4D spacetime - as we know it, is undefined, is a principle of locality in an abstraction where an "inference" or computation is only affected by available data", you can even put this so that it becomes self-evident, and plausible as axioms, but the challenege is to connect to known physics... and to attach the abstractions to physical parameters such as time, mass, energy etc. So there are some gaps to fill in. This locality principle makes locality as referring to spacetime, a special case. But I am not aware of anyone that "cleanly" published anything the way i want it. This way locality is built-in. But its "locality" in a generalized sense.

/Fredrik
 
Last edited by a moderator:
  • #49
star apple said:
In Witten Superstrings, spacetime is emergent from the dynamics of the strings even when the background is unknown (or even flat). It is the strings that create spacetime from spin 2 gravitons. Smolin is anti superstrings so I wonder why he would state it. Is it not Loop Quantum Gravity is all about background independence. Here spacetime is not emergent. Is there any further works where Smolin detailed about this emergent spacetime?
Hmmm...

This kind of "simple" emergence of spacetime geometry, in the perturbative approach from a classical geometry and a given topology is a very weak form of emergence that I don't think is not what Smolin means, and for sure not what i have in mind, without going into details.

Smolin generically talks about emergent statespaces in an evolutionary sense, but this is in his later books, i don't remember how far these ideas was expressed in the early books like three roads.
https://www.amazon.com/dp/1107074061/?tag=pfamazon01-20
or
https://www.amazon.com/dp/0544245598/?tag=pfamazon01-20
or
http://pirsa.org/08100049/

The connection between "evolution of law", and the emergence of symmetry, and the concept of observer depdenent observer invariance as an hierarchy of observers, is probably not too easy to explain briefly simply because no one to my knowledge does it this way, but you can understand the vision maybe by as a synthesis of the below spirits exemplified by some quotes, like take the good parts of each, try to deform it to make it selfconsistent, dump the rest, and what do you get? ;-)

"However, the rules of classical probability theory can be determined by pure thought alone without any particular appeal to experiment (though, of course, to develop classical probability theory, we do employ some basic intuitions about the nature of the world). Is the sametrue of quantum theory?"
-- Lucien Hardy, https://arxiv.org/pdf/quant-ph/0101012.pdf

"Entropic dynamics, a program that aims at deriving the laws of physics from standard probabilistic and entropic rules for processing information, is developed further."
-- Ariel Caticha, https://arxiv.org/abs/0808.1260

The problematic common denominator of all the various statistical emergence problems is that they fail to give the appropriate observational physical footing to the probability spaces. One part of this is also how lightly the concept of uncountably many alternatives are introduces in the theory, because it destroys computability of the inference system. It also seems intuitive that finite physical systems does not encode infinite amounts of information. So why the need for continuum models? That is often easier to work with from the point of view of analytical appraoches, but computers prefer finite sets. And nature might well too, who knows?

Then add these ideas..

" We need determinism only in alimited set of circumstances, which is where an experiment has been repeated many times. In these cases we have learned that it is reliable to predict that when we repeat an experiment in the future, which we have done many times in the past, the probability distribution of future outcomes will be the same as observed in the past. Usually we take this to be explained by the existence of funda mental timeless laws which control all change. But this could be an over-interpretation of the evidence. What we need is only that there be a principle that measurements which repeat processes which have taken place many times in the past yield the same outcomes as were seen in the past."
Lee Smolin, https://arxiv.org/pdf/1205.3707.pdf

To be honest i don't think that Smolin managed to explain this as good as it maybe could. As i see it, you can easily misread this suggestion and find it completely ridiculous, but then think again. The idea is, could the reason for the APPARENT timeless law, that most of use think of as constraints, simply be explained as a principle where nature tends to (in a sense of induction) respond as it always did? Seen the right way, this is a rational action principle in disguise. It also is a kind of solution to the problem of induction, as we know the problem is that the induction can be flat our wrong (ie no black swans). But this might not be how nature works! Its not a matter ot true or false, its a matter of best guess. If you only have seen white swans, betting on another white swan may still be a goot bet. Sometimes the best guess is wrong, and sometimes its exactly this explains certain interactions.

You can apply this reasoing also to "symmetries" if you consider the actual observer symmetries of an observer. If a certain observer has evidence for a certain symmetry, it will itself proabably behave "as if" this was law. But it is not. And sometimes a black swan actaully appears and breaks the illusion. But nature might be a stable illusion, and how else to explain it?

This is a way to also then understand evolution of law.

Then add the ideas of evolving laws of smolin, and you arrive at my position.

/Fredrik
 
Last edited:
  • Like
Likes   Reactions: star apple
  • #50
It was some time since i read these things, but here is one connection in smolins paper to is getting close to what I am doing.

Smolin writes in https://arxiv.org/pdf/1205.3707.pdf said:
The action of the principle of precedence has to be restricted to cases in which the number of precedents of a measurement is large. Otherwise, the first result with no precedence would be chosen randomly and that result would be the sole pre cedent for the second result, which would imply that all future measurements would repeat the first random choice. To avoid this a different principle is required while the precedents build up an ensemble which fills out the elements of a density matrix. One intriguing suggestion has been made by Markus Muller[7] who proposes that nature tries to induct from the first randomly chosen results the simplest possible rule. This can be understood as saying that it is more efficient for nature to store a simple rule to generate the ensemble of outcomes than it is to store the whole ensemble of outcomes itself. This leads to a hypothesis that nature chooses the simplest rule, in the sense of algorithmic information theory, which accounts for the first small number of precedents.

This connects all this to the inference and computational perspective, and evovling law perspective. If you think about this, you see a way to "attach" a the foundations of a generalized probability theory in physical structures bu identifying the "computing devices" with matter.

/Fredrik
 
  • #51
Fra said:
Hmmm...

This kind of "simple" emergence of spacetime geometry, in the perturbative approach from a classical geometry and a given topology is a very weak form of emergence that I don't think is not what Smolin means, and for sure not what i have in mind, without going into details.

Smolin generically talks about emergent statespaces in an evolutionary sense, but this is in his later books, i don't remember how far these ideas was expressed in the early books like three roads.
https://www.amazon.com/dp/1107074061/?tag=pfamazon01-20
https://www.amazon.com/dp/1107074061/?tag=pfamazon01-20

Thanks for mentioning this book. I didn't know he wrote this. I just bought one and it completes my collection of all Smolin books. I like the part where he mentioned:

"* the fundamental theory will not be quantum mechanical.. but quantum mechanics will emerge in the case of small subsystem.
* the fundamental theory will not exist in space, but space will be emergent in some eras of the universe."

Do you know of authors or papers where they explored the "dna of physical law" as you put it? Where there is perhaps some idea of elementals that embody certain forces of nature... this is the truly radical theory.. smolin stuff is just not radical or powerful enough to explain all of nature.

or
https://www.amazon.com/dp/0544245598/?tag=pfamazon01-20
or
http://pirsa.org/08100049/

The connection between "evolution of law", and the emergence of symmetry, and the concept of observer depdenent observer invariance as an hierarchy of observers, is probably not too easy to explain briefly simply because no one to my knowledge does it this way, but you can understand the vision maybe by as a synthesis of the below spirits exemplified by some quotes, like take the good parts of each, try to deform it to make it selfconsistent, dump the rest, and what do you get? ;-)

"However, the rules of classical probability theory can be determined by pure thought alone without any particular appeal to experiment (though, of course, to develop classical probability theory, we do employ some basic intuitions about the nature of the world). Is the sametrue of quantum theory?"
-- Lucien Hardy, https://arxiv.org/pdf/quant-ph/0101012.pdf

"Entropic dynamics, a program that aims at deriving the laws of physics from standard probabilistic and entropic rules for processing information, is developed further."
-- Ariel Caticha, https://arxiv.org/abs/0808.1260

The problematic common denominator of all the various statistical emergence problems is that they fail to give the appropriate observational physical footing to the probability spaces. One part of this is also how lightly the concept of uncountably many alternatives are introduces in the theory, because it destroys computability of the inference system. It also seems intuitive that finite physical systems does not encode infinite amounts of information. So why the need for continuum models? That is often easier to work with from the point of view of analytical appraoches, but computers prefer finite sets. And nature might well too, who knows?

Then add these ideas..

" We need determinism only in alimited set of circumstances, which is where an experiment has been repeated many times. In these cases we have learned that it is reliable to predict that when we repeat an experiment in the future, which we have done many times in the past, the probability distribution of future outcomes will be the same as observed in the past. Usually we take this to be explained by the existence of funda mental timeless laws which control all change. But this could be an over-interpretation of the evidence. What we need is only that there be a principle that measurements which repeat processes which have taken place many times in the past yield the same outcomes as were seen in the past."
Lee Smolin, https://arxiv.org/pdf/1205.3707.pdf

To be honest i don't think that Smolin managed to explain this as good as it maybe could. As i see it, you can easily misread this suggestion and find it completely ridiculous, but then think again. The idea is, could the reason for the APPARENT timeless law, that most of use think of as constraints, simply be explained as a principle where nature tends to (in a sense of induction) respond as it always did? Seen the right way, this is a rational action principle in disguise. It also is a kind of solution to the problem of induction, as we know the problem is that the induction can be flat our wrong (ie no black swans). But this might not be how nature works! Its not a matter ot true or false, its a matter of best guess. If you only have seen white swans, betting on another white swan may still be a goot bet. Sometimes the best guess is wrong, and sometimes its exactly this explains certain interactions.

You can apply this reasoing also to "symmetries" if you consider the actual observer symmetries of an observer. If a certain observer has evidence for a certain symmetry, it will itself proabably behave "as if" this was law. But it is not. And sometimes a black swan actaully appears and breaks the illusion. But nature might be a stable illusion, and how else to explain it?

This is a way to also then understand evolution of law.

Then add the ideas of evolving laws of smolin, and you arrive at my position.

/Fredrik
 
  • Like
Likes   Reactions: Jimster41
  • #52
star apple said:
Do you know of authors or papers where they explored the "dna of physical law" as you put it? Where there is perhaps some idea of elementals that embody certain forces of nature... this is the truly radical theory.. smolin stuff is just not radical or powerful enough to explain all of nature.
No I don't. Given how the field looks like, i think its equally probably to find that book in shops written anyone, as it is to work this out all on your own and write it yourself.
star apple said:
I like the part where he mentioned:

"* the fundamental theory will not be quantum mechanical.. but quantum mechanics will emerge in the case of small subsystem.
* the fundamental theory will not exist in space, but space will be emergent in some eras of the universe."
Its exactly when you think about this that not even QM as generalized probability theory in the sense of hardy and entropic dynamics solves the problem. The problem is that these ideas solve the problem that was created when we went from classical physics to QM. And where we still have a classical observer, to "attach" probability to. The limit of small subsystems is imo related to the limit of a large classical observer. Its the same thing relationally. As long as we are in this domain, the generalized probability theory works fine.

But in cosmological theories of measurement, and when you consider the logic of unification, i think the problem is much worse. And the revolution needed here is larger than the transition from classical realism to QM, now some 100 years ago. After all, the "probability" in QM is still realistic. The "generalization" needed is much more radical i think.

Some people are still thinking the classical->quantum is a problem (which it partly is) but to the point where they don't see the next generation of the bigger problem. If one thinks quantum mechanics is "weird", the new thing we seek is going to be far harder to "grasp".

/Fredrik
 
  • Like
Likes   Reactions: star apple
  • #53
Fra said:
No I don't. Given how the field looks like, i think its equally probably to find that book in shops written anyone, as it is to work this out all on your own and write it yourself.

Its exactly when you think about this that not even QM as generalized probability theory in the sense of hardy and entropic dynamics solves the problem. The problem is that these ideas solve the problem that was created when we went from classical physics to QM. And where we still have a classical observer, to "attach" probability to. The limit of small subsystems is imo related to the limit of a large classical observer. Its the same thing relationally. As long as we are in this domain, the generalized probability theory works fine.

But in cosmological theories of measurement, and when you consider the logic of unification, i think the problem is much worse. And the revolution needed here is larger than the transition from classical realism to QM, now some 100 years ago. After all, the "probability" in QM is still realistic. The "generalization" needed is much more radical i think.

Some people are still thinking the classical->quantum is a problem (which it partly is) but to the point where they don't see the next generation of the bigger problem. If one thinks quantum mechanics is "weird", the new thing we seek is going to be far harder to "grasp".

/Fredrik

Fra. I'm looking for a theory or paper where this whole spacetime/matter being emergent from something else and relational quantum mechanics and information flow thing by Rovelli and Smolin, etc. can be related to Dark Matter.. that is.. matter and dark matter being part of the fundamental theory that uses relational (or inference) measurement thing that doesn't use quantum mechanics (as mentioned by Smolin). Remember the fact of the matter is that there is no theory of dark matter consistent with all the data. So use dark matter as extension of matter in the fundamental theory that won't use quantum mechanics nor occur in space as Smolin mentioned but where space is emergent. Is this possible? Please give the fundamental ideas (or any paper) if any author has explored this before. Thanks.
 
  • #54
There are so many of papers out there, and while its important to somehow be aware of that others have done it is a huge task on its own. All I can say is that there are no papers i have stumbled upon that is doing things that fully complies to my thinking. But as we just discussed there are many that i think partially in the right direction.

Maybe someone else can advise. Marcus that isn't with us anymore used to do a good jump by monitoring and highlightning new papers. I don't really spend any time at all screening papers, its more that i stumble upon them due to references etc.

But if we turn this around, and ask pragmatically if I had to pick one of the major programs that i think is the "least bad" with biggest potential then i would probably be string theory after all. While i think the program by design is not addressing the foundational quesitons rationally, it has at least the potential to maybe work out their problems and actually turn into a theory of inference (although i am in doubt as it needs to change so much that the "strings" would be something else), where the branes and various dual -theories correspond to different inference systems, which in turns correspond to different "observers" and the landscape is then real, and should be understood evolutionary. The missing part is to understand the evolution mechanisms withing the landscape; why are certain theories not manifest in nature while others are? I think there are no deductive answer to this, but the answer maybe lies in evolutionary learning algorithms. But if you se it this way, the original starting point of constructing string theory from quantiing a classical string is not the right way to understand it. This is just the historical path, which i consider to be accidental, providing no insight - probably just confusion! This is the reason why i still enjoy some of wittens writings, just to try to guess what new ideas that may come from there.

Just a remote hope there was this thread, but still far from the vision
https://www.physicsforums.com/threa...old-the-thought-of-jonathan-j-heckman.923630/

/Fredrik
 
  • #55
Fra said:
There are so many of papers out there, and while its important to somehow be aware of that others have done it is a huge task on its own. All I can say is that there are no papers i have stumbled upon that is doing things that fully complies to my thinking. But as we just discussed there are many that i think partially in the right direction.

Maybe someone else can advise. Marcus that isn't with us anymore used to do a good jump by monitoring and highlightning new papers. I don't really spend any time at all screening papers, its more that i stumble upon them due to references etc.

But if we turn this around, and ask pragmatically if I had to pick one of the major programs that i think is the "least bad" with biggest potential then i would probably be string theory after all. While i think the program by design is not addressing the foundational quesitons rationally, it has at least the potential to maybe work out their problems and actually turn into a theory of inference (although i am in doubt as it needs to change so much that the "strings" would be something else), where the branes and various dual -theories correspond to different inference systems, which in turns correspond to different "observers" and the landscape is then real, and should be understood evolutionary. The missing part is to understand the evolution mechanisms withing the landscape; why are certain theories not manifest in nature while others are? I think there are no deductive answer to this, but the answer maybe lies in evolutionary learning algorithms. But if you se it this way, the original starting point of constructing string theory from quantiing a classical string is not the right way to understand it. This is just the historical path, which i consider to be accidental, providing no insight - probably just confusion! This is the reason why i still enjoy some of wittens writings, just to try to guess what new ideas that may come from there.

Just a remote hope there was this thread, but still far from the vision
https://www.physicsforums.com/threa...old-the-thought-of-jonathan-j-heckman.923630/

/Fredrik

I thought you read every paper at arxiv. Ok. Good to know you like Superstrings.. and not a hater of it like some LQG folks. i'll google everything I could read about Superstrings without SUSY and relational QM and how they combine the two. I need a good background of superstrings and will read about it (and contemplate it) for the remaining days of the year. Thanks a lot for sharing.
 
  • #56
star apple said:
I thought you read every paper at arxiv.
[emoji1]

/Fredrik
 
  • #57
Fra said:
There are so many of papers out there, and while its important to somehow be aware of that others have done it is a huge task on its own. All I can say is that there are no papers i have stumbled upon that is doing things that fully complies to my thinking. But as we just discussed there are many that i think partially in the right direction.

Maybe someone else can advise. Marcus that isn't with us anymore used to do a good jump by monitoring and highlightning new papers. I don't really spend any time at all screening papers, its more that i stumble upon them due to references etc.

But if we turn this around, and ask pragmatically if I had to pick one of the major programs that i think is the "least bad" with biggest potential then i would probably be string theory after all. While i think the program by design is not addressing the foundational quesitons rationally, it has at least the potential to maybe work out their problems and actually turn into a theory of inference (although i am in doubt as it needs to change so much that the "strings" would be something else), where the branes and various dual -theories correspond to different inference systems, which in turns correspond to different "observers" and the landscape is then real, and should be understood evolutionary. The missing part is to understand the evolution mechanisms withing the landscape; why are certain theories not manifest in nature while others are? I think there are no deductive answer to this, but the answer maybe lies in evolutionary learning algorithms. But if you se it this way, the original starting point of constructing string theory from quantiing a classical string is not the right way to understand it. This is just the historical path, which i consider to be accidental, providing no insight - probably just confusion! This is the reason why i still enjoy some of wittens writings, just to try to guess what new ideas that may come from there.

Just a remote hope there was this thread, but still far from the vision
https://www.physicsforums.com/threa...old-the-thought-of-jonathan-j-heckman.923630/

/Fredrik

There is a nice name for this problem that there are too many papers and everyone is struggling to keep up with what's happening: Research Debt. However, so far there is no good solution.
 
  • #58
Fra said:
Yes this is the key. I can only guess, but the probable idea that fits in string thery is bulk dimensionality is emegent from boundaries. And there new symmetries form. This need to be phrased without starting from 4d continium spacetime baggage.

The part that I got caught on is what models are there that can describe a system that starts with no symmetries (isn't this like as a non-repeating fractal?) but develops/supports symmetries?
This seems to be the implication that "symmetries are emergent": To some observer there ain't any in the raw ingredient but they show up in the pie when you mix and bake those ingredients.

I was struck by how there are fractals that are non-repeating and there are fractals that repeat periodically (have symmetric states?).
What I wondered is whether there are multi-fractals that start with more than one of the first kind (non-repeating/a-symmetric) and produce the second (repeating/supporting symmetries). It's one mathematical model that I can think of that at least maybe could support the idea of the symmetry pie with purely asymmetric ingredients- though maybe there are others.

I have this naive cartoon that strings start with symmetries - because the simplest strings themselves are symmetric (identical). So strings already require the support for symmetry.

I know this is all naive, please consider it a question.

[I am certainly confused about the difference between irrational numbers and non-repeating fractals, maybe that's obvious]
 
Last edited:

Similar threads

  • · Replies 73 ·
3
Replies
73
Views
8K
  • · Replies 71 ·
3
Replies
71
Views
15K
  • · Replies 2 ·
Replies
2
Views
3K
  • · Replies 26 ·
Replies
26
Views
7K
  • · Replies 8 ·
Replies
8
Views
2K
  • · Replies 4 ·
Replies
4
Views
3K
  • · Replies 0 ·
Replies
0
Views
4K
  • · Replies 61 ·
3
Replies
61
Views
10K
  • · Replies 1 ·
Replies
1
Views
4K
  • · Replies 2 ·
Replies
2
Views
6K