Electric Field due to a disk of radius R in the xy-plane

Click For Summary

Homework Help Overview

The discussion revolves around calculating the electric field due to a uniformly charged disk of radius R located in the xy-plane, specifically at the point P(0,0,z). Participants explore various approaches to the problem, including surface integration and parametrization techniques.

Discussion Character

  • Exploratory, Conceptual clarification, Mathematical reasoning

Approaches and Questions Raised

  • The original poster attempts to use surface integration with a specific parametrization and questions how to proceed from their initial steps. Some participants suggest clarifying symbols and notation used in the discussion. Others raise concerns about the validity of certain expressions and the need for proper area elements in the integration.

Discussion Status

Participants are actively engaging with the problem, providing feedback on notation and mathematical expressions. There is a recognition of the need to shift from a vector surface integration approach to a double integration perspective. Some guidance has been offered regarding the correct treatment of area elements and the nature of the charge distribution.

Contextual Notes

Participants note the importance of clear notation and the potential confusion arising from treating area elements as vectors. There is also mention of the original poster's learning curve with LaTeX and the need for proper mathematical formatting in the discussion.

neroE
Messages
4
Reaction score
1
Homework Statement
N/A
Relevant Equations
Coulomb's law mainly.
Hello,
This question, which I found in various electricitiy and magnetism books (e.g. Introduction to electrodynamics grif.).

There are many variations of this question, I am mainly interested in the following setup of it:
-Suppose there is a charged disk of radius R lying in the xy-plane, and the electric field is uniform. What is the electric field at the point P(0,0,z)?

I know this can be solved by first considering a ring, deriving a formula for it, and then summing the infinite number of rings that make up a disk (via integration), and thus, the desired result is yielded. However, I am more interested in how to approach this using surface integration?I started with the parametrization G(u,v) = <ucos(v),u*sin(v),0> and found the normal unit vector to be <0,0,1>
where: 0<u<R and 0<v<2*pi

But, I am not sure how to continue from there, I attached a pdf showing my subsequent steps, which I am not sure if it is valid or not.
Please help, and thank you in advance.
 

Attachments

  • 1.pdf
    1.pdf
    190.3 KB · Views: 163
Physics news on Phys.org
Hello @neroE ,
:welcome: ##\qquad ## !​

neroE said:
which I found in various electricitiy and magnetism books
Probably not : instead of
neroE said:
and the electric field is uniform
do you mean 'and the charge is uniformly distributed' ##\qquad## ?You also want to
  • explain the symbols you are using (##G## ?) in words or in a picture
  • write legibly -- or, better: use ##\LaTeX##
  • read the PF guidelines

##\ ##
 
  • Like
Likes   Reactions: nasu, MatinSAR and neroE
Hi @BvU ,
Yes, sorry, the charge is uniformly distributed.
I did not use any symbols except the common three symbols:
r: radius that varies in the disk (I.e.starts from r=0 till r=R)
theta: which is the angle that kind of describes the ring/disk (I.e. starts from 0 to 2pi).
G: This is just to indicate a mapping is occurring (I.e. G(r,theta) means parametrizing the surface using r and theta, and then: G(r,theta) = <rcos(theta),rsin(theta),0> means x=rcos(theta), y=rsin(theta), z=0.
I apologise if this notation is not that common, I read it in a calculus textbook before.
Lastly, I know some latex; however, I may not be able to write the pdf I attached completely in latex as I did not learn that much latex. So, please excuse my first post not being in latex, and hopefully my next posts will be in Latex as I will be learning it.
Thank you in advance.
 
Your expression ##dr\,d\theta## for ##dA## is wrong. It needs to have units of area. You forgot to multiply by the Jacobian, which will give you a factor of ##r##.
 
  • Like
Likes   Reactions: MatinSAR, vanhees71 and neroE
Ok, and I suppose
1678728290829.png
is the Coulomb constant, a.k.a. ##\displaystyle {1\over 4\pi\varepsilon_0}## :smile: .

( re notation: I use separate symbols for the vector in the disk and the vector from ## dA## to point P )

You have ##\vec r = \vec p -\vec r' ## with ##\vec p =<0,0,z>## and ##\vec r'= <r'\cos\theta,r'\sin\theta,0>## and ##\hat r = {\vec r \over |\vec r|} ##
And then I can follow $$d\vec E = {1\over 4\pi\varepsilon_0} \; {1\over r^2}\;{\vec p - \vec r' \over |\vec r| } \; dQ$$
where ## dQ = \sigma dA = \sigma r' dr'\, d\theta ## (*)

Note that ##dQ## is a scalar !

( (*) I have the impression you overlooked the factor ##r'## ? Nice to see vela agrees...)​
In sort, I agree with your
1678730089811.png
(quoting ##\LaTeX## really is a lot more comfortable :wink:).

Except that it looks as if you think ##dA## is a vector and then in the subsequent
1678730174238.png

you come up with dot product ##\vec r \cdot \vec n##

neroE said:
which I am not sure if it is valid or not
I don't think it's valid, but here it works because you pick out the ##z## component, which is the only one that doesn't cancel from symmetry.

##\ ##
 
  • Like
Likes   Reactions: MatinSAR, neroE and vela
Hi,
I learnt some latex, not the best but at least better :smile:.
1.PNG

2.PNG

Thanks @vela and @BvU.
I think my main initial problem was treating the problem as a vector surface integration question, and in this, we always convert F*dA(vector) to scalar surface integral by parametrization and finding the normal vector (which is kinda the "jacobian"). But, as both of you have stated, I just realized that it is just a double integration problem and no need for vector fields I guess.
Thanks in advance!
 
neroE said:
Hi,
I learnt some latex, not the best but at least better :smile:.

Great ! Would be even better to embed it in the post: in-line math enclosed in double ## and displayed math enclosed in double $$
More tips: use \cos and \sin and ##\theta## instead of ##(\theta)##

neroE said:
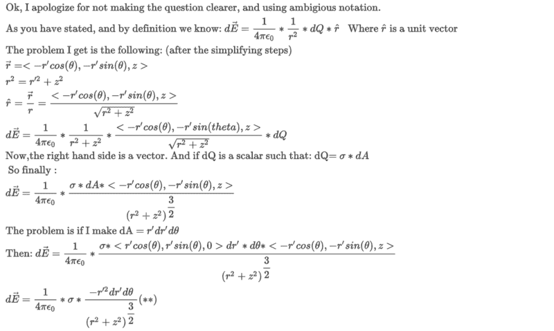
1678791128308.png


I think my main initial problem was treating the problem as a vector surface integration question, and in this, we always convert F*dA(vector) to scalar surface integral by parametrization and finding the normal vector (which is kinda the "jacobian"). But, as both of you have stated, I just realized that it is just a double integration problem and no need for vector fields I guess.
Yep. As stated, ##dQ = \sigma \, dA = \sigma \,r'\,dr'\, d\theta## , ALL scalars. So you can't replace ##r'\ (=|r'|) ## by ## <r'\cos\theta,r'\sin\theta,0>##

1678792110043.png

(1) not correct to replace ##dA## by a vector
(2) you take a dot product where you should multiply with ##|r'|## (and in the denominator you write ##r^2## instead of ##r'^{\, 2} \ ##)

But I think we start repeating things :wink: .

##\ ##
 
  • Like
  • Informative
Likes   Reactions: neroE, vanhees71 and MatinSAR
Alright, thank you very much @BvU
I learnt a lot of things from this thread & some latex.
:smile:
 
  • Like
Likes   Reactions: BvU

Similar threads

Replies
12
Views
2K
Replies
11
Views
3K
Replies
4
Views
4K
Replies
1
Views
2K
Replies
26
Views
6K
Replies
4
Views
5K
  • · Replies 12 ·
Replies
12
Views
3K
  • · Replies 3 ·
Replies
3
Views
3K
  • · Replies 4 ·
Replies
4
Views
3K
  • · Replies 13 ·
Replies
13
Views
6K