Electric field due to n charges

Click For Summary

Homework Help Overview

The discussion revolves around the electric field produced by multiple charges arranged in a circular configuration. Participants are exploring the components of the electric field, particularly questioning the presence and cancellation of vertical components due to symmetry.

Discussion Character

  • Conceptual clarification, Assumption checking, Exploratory

Approaches and Questions Raised

  • Participants are examining the implications of symmetry on the electric field components, particularly questioning how vertical components might cancel out. They discuss the arrangement of charges and the resultant electric field at specific points, such as on the x-axis.

Discussion Status

There is an active exploration of the assumptions regarding the electric field components. Some participants are seeking clarification on the correctness of formulas and the conditions under which components cancel. Guidance has been provided regarding the symmetry of the arrangement, but no consensus has been reached on the proofs or specific calculations.

Contextual Notes

Participants are working under the constraints of a homework problem, which may limit the information available or the methods they can use to prove their points. There is an emphasis on understanding the geometric arrangement of charges and its effect on the electric field.

member 731016
Homework Statement
Please see below.
Relevant Equations
Please see below.
For this problem,
1673581735141.png

The solution is,
1673581774615.png

However, should they be a vertical component of the electric field for the expression circled in red? I do understand that assuming that when the nth charge is added it is placed equal distant for the other charges so that a component of the electric field cancels which would be the y-component from how they defined the coordinate system.

I also note how they could have just used the formula for the E-field produced by a discrete number of charges.
1673581994372.png


Many thanks!
 
Physics news on Phys.org
I assume that by "vertical" you mean a component in the plane parallel to the plane of the circle. Consider a point on the x-axis. If there were such a component of the field at that location, at what "o' clock" position relative to the circle would it point? To make it easy, assume that there are 12 charges on the circle labeled 1 - 12.
 
  • Like
Likes   Reactions: topsquark
kuruman said:
I assume that by "vertical" you mean a component in the plane parallel to the plane of the circle. Consider a point on the x-axis.
Thanks for the reply @kuruman , and sorry for the late reply!

Yep, correct was what I meant by "vertical" :)

If there were such a component of the field at that location, at what "o' clock" position relative to the circle would it point? To make it easy, assume that there are 12 charges on the circle labeled 1 - 12.
If there was a positive charge on the x-axis, then I think there would be a electric field surrounding the charge. If there was a spherical Gaussian surface then then there would be a postive electric flux since there would only be electric field lines leaving the charge. But if there were charges on the circle, I think their vertical component will cancel from symmetry. I think the same is true for an even number of charges.

Is there a way to prove that the vertical component of the electric fields cancels from symmetry?

Many thanks!
 
If the unit vector ## \hat{i} ## is supposed to mean the unit vector along the x axis the formula outlined in red is wrong. The field of any individual charge is not along the x axis but at an angle, as shown in the figure. This field does have a component perpendicular to the x axis. Only when you add all contributions the off-axis components cancel out.
 
  • Like
Likes   Reactions: member 731016 and topsquark
nasu said:
If the unit vector ## \hat{i} ## is supposed to mean the unit vector along the x axis the formula outlined in red is wrong. The field of any individual charge is not along the x axis but at an angle, as shown in the figure. This field does have a component perpendicular to the x axis. Only when you add all contributions the off-axis components cancel out.
Thanks for you reply @nasu ! So really that formula shown in red for the individual charge n should be,

1673660759511.png

Correct?

However, how do we prove without using intuition that y-component of the radical fields cancel for n > 1 to give a resultant electric field of
1673661091103.png

for n charges?

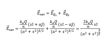
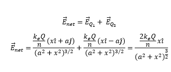
I think the easiest situation to prove this for is for n = 2.
I'll assume that the two charges are separately symmetrically from each other by a distance 2a.
1673661501615.png

Then,
1673662236214.png

However, this does not give
1673662285870.png
mentioned in the solutions. Do you please know what I did wrong?

Thank you!
 
Callumnc1 said:
Then,
View attachment 320343
However, this does not give View attachment 320344 mentioned in the solutions. Do you please know what I did wrong?

Thank you!
If you substitute ##n=2##, it gives exactly that.
 
  • Like
Likes   Reactions: MatinSAR and member 731016
kuruman said:
If you substitute ##n=2##, it gives exactly that.
Thanks @kuruman, I did not see that!
 

Similar threads

  • · Replies 3 ·
Replies
3
Views
2K
  • · Replies 2 ·
Replies
2
Views
3K
Replies
23
Views
5K
  • · Replies 5 ·
Replies
5
Views
2K
Replies
4
Views
4K
  • · Replies 1 ·
Replies
1
Views
1K
Replies
9
Views
2K
Replies
6
Views
2K
  • · Replies 4 ·
Replies
4
Views
2K