Electromagnetics: find D,E,P between two parallel conducting plates

Click For Summary
SUMMARY

The discussion focuses on solving an electromagnetics problem involving two parallel conducting plates using Gauss' law. The key takeaway is the correct application of the integral form of Gauss' law, specifically ##\oint \mathbf{D} \cdot \mathbf{dS} = \frac{Q_{\rm enclosed}^{\rm free}}{\varepsilon_0}##, to find the electric displacement field ##\mathbf{D}##. It is crucial to recognize that the electric field ##\mathbf{E}## differs in air compared to the dielectric material. The participant's approach was generally correct, but they were advised against summing the ##\mathbf{D}## fields from different Gaussian surfaces.

PREREQUISITES
  • Understanding of Gauss' law in electromagnetics
  • Familiarity with electric displacement field (##\mathbf{D}##) and electric field (##\mathbf{E}##)
  • Knowledge of potential difference and its relation to electric fields
  • Concept of dielectric materials and their properties
NEXT STEPS
  • Study the application of Gauss' law in different geometries
  • Learn about the relationship between electric displacement field (##\mathbf{D}##) and electric field (##\mathbf{E}##)
  • Explore the effects of dielectric materials on electric fields
  • Review integration techniques for finding electric potential (##V##) from electric fields (##\mathbf{E}##)
USEFUL FOR

Students studying electromagnetics, particularly those tackling problems involving electric fields and displacement fields between conducting plates, as well as educators looking for examples of common misconceptions in applying Gauss' law.

larginal
Messages
3
Reaction score
2
Homework Statement
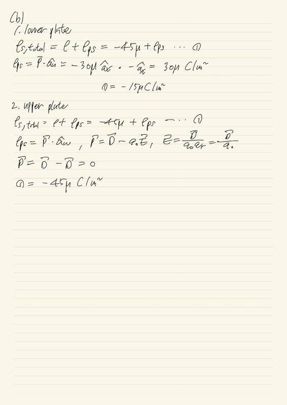
Two infinite, parallel, perfectly conducting plates of a negligible thickness intersect the z-axis at right angles at z= 0.2 m and z = 0, carrying uniform charge densities p(surface charge density) = 45 * 10^-6 and -45*10^-6 respectively. the lower half of the space(0 <z<1) is filled with a dielectric of epsilon r = 1.5 , and the upper half of the space (0.1 < z < 0.2) is the air, epsilon r = 1.
when the lower plate is maintained at potential V = 0,
find
(a) D, E, P and V in the region 0 < z < 0.2 m
(b) total surface charge density on each plate.
Relevant Equations
D = epsilon0 * E + P
I tried to solve this problem on my own, but I'm not sure whether I solved correctly or not.
it is electromagnetics homework from my Uni, and it is pretty tough for me.
I attached the image of the problem and how I tried to solve this one.
I hope somebody will give some feedback.
 

Attachments

  • a.jpg
    a.jpg
    32 KB · Views: 190
  • b.jpg
    b.jpg
    53.9 KB · Views: 196
Physics news on Phys.org
If possible, please type in your work rather than post photos of your work. It makes it easier to read and easier to quote specific parts of your work.

In using Gauss' law in the form ##\oint \mathbf{D} \cdot \mathbf{dS} = \large \frac{Q_{\rm enclosed}^{\rm free}}{\varepsilon_0}##, the ## \mathbf{D}##-field appearing in the integral is the field due to all of the charge in the system. So, when you used the blue Gaussian surface to find ##\mathbf{D}##, you found the net field due to all of the charge. When you used the red Gaussian surface, you just found the same field by a different choice of Gaussian surface. You should not add the ##\mathbf{D}##'s for the two methods.

When you integrated ##\mathbf{E} = -\boldsymbol{\nabla} V ## to find ##V##, you need to take into account that ##\mathbf{E}## in the air is different than ##\mathbf{E}## in the dielectric.

Otherwise, I think you have the correct approach to the problem.
 

Similar threads

Replies
11
Views
4K
  • · Replies 14 ·
Replies
14
Views
2K
Replies
7
Views
3K
  • · Replies 58 ·
2
Replies
58
Views
6K
Replies
44
Views
5K
  • · Replies 6 ·
Replies
6
Views
2K
Replies
1
Views
2K
  • · Replies 4 ·
Replies
4
Views
3K
  • · Replies 2 ·
Replies
2
Views
1K
  • · Replies 8 ·
Replies
8
Views
2K