Energies of bound state for delta function potential

Click For Summary
SUMMARY

The discussion focuses on the energy states of a particle subjected to a delta function potential, as described in 'Introduction to Quantum Mechanics' by D.J. Griffiths. It establishes that for bound states, the energy (E) is negative, indicating a single energy value for the particle when the potential is applied. The conversation also highlights the relationship between the delta potential and the hydrogen atom's bound states, emphasizing the significance of scattering states and transmission coefficients in this context.

PREREQUISITES
  • Understanding of the Schrödinger equation
  • Familiarity with quantum mechanics concepts, particularly bound states
  • Knowledge of delta function potentials
  • Basic principles of scattering theory
NEXT STEPS
  • Study the implications of delta function potentials in quantum mechanics
  • Research the relationship between potential wells and bound states
  • Learn about scattering states and their transmission and reflection coefficients
  • Explore the mathematical derivation of energy levels in quantum systems
USEFUL FOR

Students and professionals in quantum mechanics, physicists exploring potential theory, and anyone interested in the behavior of particles in quantum systems.

ErwinZumer
Messages
1
Reaction score
1
Hi
Let's consider a potential of the form
1695146975780.png

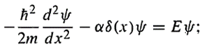
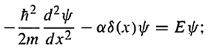
The Schrödinger equation reads
1695147036236.png

as shown in the book 'Introduction to Quantum mechanis' by D.J. Griffiths, Chaper 2 Section 5, the solution of the equation yields (only for bound state, which means E<0):
1695147197115.png

My question:
if i have one particle and i apply this potential on it, how does it take one value of energy?
another question is, if i have one paricle with some energy, E, before applying this potential, does the energy of the particle will change?
 
  • Like
Likes   Reactions: PeroK
Physics news on Phys.org
ErwinZumer said:
Hi
Let's consider a potential of the form
View attachment 332220
The Schrödinger equation reads
View attachment 332222
as shown in the book 'Introduction to Quantum mechanis' by D.J. Griffiths, Chaper 2 Section 5, the solution of the equation yields (only for bound state, which means E<0):
View attachment 332223
My question:
if i have one particle and i apply this potential on it, how does it take one value of energy?
another question is, if i have one paricle with some energy, E, before applying this potential, does the energy of the particle will change?
There are parallels, of course with the hydrogen atom, where an electron may settle into a bound state around the nucleus by emitting a photon that carries away the excess energy. Does this happen for the delta function potential? Good question.

The physical significance of the delta potential is probably in the scattering states and the transmission and reflection coefficients.

There's more here to get you started if you want to investigate further:

https://en.wikipedia.org/wiki/Delta_potential
 
That delta function potential is like the limit of a finite square well, ##V(x) = -V_0## when ##|x|<L/2## and ##V(x) = 0## when ##|x|\geq L/2##, if you start making it more narrow by decreasing ##L## and increasing ##V_0## at the same time so that the product ##V_0 L## stays at constant value ##\alpha##.

It's probably difficult to explain in a pictorial way why this system has exactly one bound state in the limit where ##L## is very close to ##0## and ##V_0## is a very large number.

A more difficult problem would be to find out how much more quickly you would have to increase well depth ##V_0## compared to the rate of ##L## decrease so that after some minimum value of ##V_0## it would have exactly two bound states. But it's impossible to define a generalized function similar to ##\delta (x)## that would describe the high-##V_0## limit of this situation.
 

Similar threads

  • · Replies 4 ·
Replies
4
Views
2K
  • · Replies 11 ·
Replies
11
Views
4K
  • · Replies 12 ·
Replies
12
Views
4K
Replies
3
Views
3K
  • · Replies 1 ·
Replies
1
Views
2K
  • · Replies 2 ·
Replies
2
Views
2K
  • · Replies 3 ·
Replies
3
Views
2K
  • · Replies 2 ·
Replies
2
Views
1K
  • · Replies 2 ·
Replies
2
Views
2K
  • · Replies 3 ·
Replies
3
Views
1K