Energy conservation of metallic balls

Click For Summary

Homework Help Overview

The discussion revolves around the conservation of energy and momentum in a system involving metallic balls. Participants are exploring the dynamics of the system, particularly focusing on the behavior of the balls at critical points during their interaction.

Discussion Character

  • Exploratory, Conceptual clarification, Assumption checking

Approaches and Questions Raised

  • Participants discuss the application of energy conservation and momentum conservation principles, questioning the assumptions about the motion of the balls, particularly the middle ball's behavior. There are references to transforming into the center of mass frame and considerations of angular momentum.

Discussion Status

There is an ongoing exploration of the problem with various approaches being suggested. Some participants have provided insights into the relationships between the speeds of the balls and the conservation laws, indicating a productive direction without reaching a consensus.

Contextual Notes

Participants are navigating potential misunderstandings regarding the motion of the balls at minimum separation and the implications for energy and momentum conservation. There is an indication of missing information or assumptions that may affect the analysis.

A13235378
Messages
50
Reaction score
10
Homework Statement
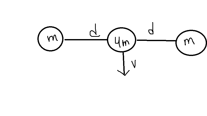
Three small metallic balls, loaded with q charges, have masses equal to m, 4m and m. The balls are connected by insulating wires of each length and placed on a horizontal table without friction. Initially the balls are at rest in a straight line as shown. Then a quick horizontal push gives the central ball a velocity v directed perpendicular to the strings. Find the subsequent minimum distance D between the balls of dough m.
Relevant Equations
Q=mv (amount of moment)
E= Qq/4πex (potential energy)
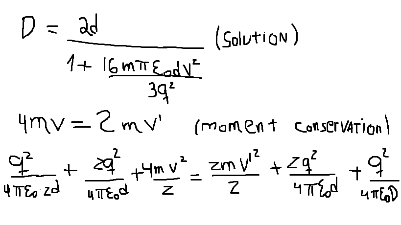
I did energy conservation,
considering that the final velocity of the largest mass would be zero and I used moment conservation. But
I am not finding the answer . Where I maked a mistake?

Sem título.png

Sem título.png
 
Physics news on Phys.org
Go into COM system where conservation of momentum is satisfied. There formula of energy conservation and angular momentum conservation if you need in addition will tell you of it.
 
Last edited:
  • Like
Likes   Reactions: etotheipi
Your initial energy is correct, but you do not have the correct idea of what happens next. The middle ball does not necessarily come to rest at the critical point!

Here is a "shortcut" way; transform into the COM frame and write down the initial total energy and angular momentum in this frame (initial angular momentum is zero!). These will be conserved quantities.

Now consider the time where the separation of the two smaller balls are least. The relative velocities of all components will be zero, so for an instant the configuration will behave like a rigid body rotating about its centre of mass. Except the angular momentum is zero so the total kinetic energy will be ##T = \frac{L^2}{2I} = 0##. Hence you can say$$E = E_{elec}(D)$$where ##E_{elec}(D)## is the electrical energy in terms of ##D## at the final configuration!
 
Last edited by a moderator:
  • Like
Likes   Reactions: berkeman
@A13235378
As @etotheipi has pointed out, the middle ball does not come to rest when the other two balls are at minimum separatation. But there is a simple relation between the speeds of the three balls at this instant. Once you see what it is, you will just need to fix up your momentum equation. Everything else looks good. Or, you can try some of the other suggestions.
 

Similar threads

  • · Replies 9 ·
Replies
9
Views
2K
  • · Replies 6 ·
Replies
6
Views
1K
  • · Replies 18 ·
Replies
18
Views
2K
  • · Replies 13 ·
Replies
13
Views
1K
  • · Replies 44 ·
2
Replies
44
Views
4K
Replies
10
Views
3K
  • · Replies 5 ·
Replies
5
Views
2K
Replies
21
Views
3K
Replies
2
Views
1K