Equation Alternatives for Young's Modulus

Click For Summary

Homework Help Overview

The discussion revolves around the definitions and representations of Young's modulus in the context of material deformation under axial loading. Participants are examining the validity of different equations related to Young's modulus and exploring the implications of using various forms of strain in these equations.

Discussion Character

  • Conceptual clarification, Mathematical reasoning, Assumption checking

Approaches and Questions Raised

  • Participants are questioning the validity of different definitions of Young's modulus and whether certain representations are equivalent. There is discussion about the differences between tangent and secant moduli, and how these relate to the equations presented. Some participants suggest that the definitions may vary based on the context of strain being used.

Discussion Status

The discussion is active, with participants providing insights and questioning assumptions. There is no explicit consensus yet, but several participants are exploring the implications of using different forms of strain and their effects on the equations for Young's modulus.

Contextual Notes

Some participants note the potential for Young's modulus to vary with strain and question whether the definitions can be generalized. There is also mention of specific constraints related to the context of the problem, such as the assumption of constant area and temperature in certain equations.

LCSphysicist
Messages
644
Reaction score
163
Homework Statement
I will post below
Relevant Equations
There is no
I just found a definition to the Young modulus as:
1598322433307.png

Is this a plausible representation of Y? That is, i know the definition
1598322597229.png
, i don't think we can say this definition and the first definition is equal.
 

Attachments

  • 1598317298882.png
    1598317298882.png
    6.6 KB · Views: 191
  • 1598317412936.png
    1598317412936.png
    659 bytes · Views: 199
  • 1598322594077.png
    1598322594077.png
    537 bytes · Views: 194
  • Like
Likes   Reactions: etotheipi
Physics news on Phys.org
LCSphysicist said:
Homework Statement:: I will post below
Relevant Equations:: There is no

I just found a definition to the Young modulus as:
View attachment 268280
Is this a plausible representation of Y? That is, i know the definition View attachment 268282, i don't think we can say this definition and the first definition is equal.
The second looks invalid in that it should be ##\frac{dF}{A}=\frac{YdL}L##. That would make them identical.
Alternatively, maybe they mean ##\frac{\Delta F}{A}=\frac{Y\Delta L}L##, which is not exactly the same.
 
  • Like
Likes   Reactions: LCSphysicist
haruspex said:
The second looks invalid in that it should be ##\frac{dF}{A}=\frac{YdL}L##. That would make them identical.
Alternatively, maybe they mean ##\frac{\Delta F}{A}=\frac{Y\Delta L}L##, which is not exactly the same.

The simple definition of the Young's modulus, ##E##, for axial tension that I am familiar with is$$E = \frac{\sigma}{\varepsilon} = \frac{T}{A} \frac{L_0}{\Delta L} \implies \frac{T}{A} = \frac{E \Delta L}{L_0}$$where ##\Delta L = L - L_0##. Taking the differentials of both sides, holding ##A## constant, would give$$\frac{dT}{A} = \frac{E}{L_0} d(L - L_0) = \frac{EdL}{L_0}$$which is your first equation. So I think they were just being sloppy using a differential ##dL## when they should have used ##\Delta L## :smile:
 
etotheipi said:
The simple definition of the Young's modulus, ##E##, for axial tension that I am familiar with is$$E = \frac{\sigma}{\varepsilon} = \frac{T}{A} \frac{L_0}{\Delta L} \implies \frac{T}{A} = \frac{E \Delta L}{L_0}$$where ##\Delta L = L - L_0##. Taking the differentials of both sides, holding ##A## constant, would give$$\frac{dT}{A} = \frac{E}{L_0} d(L - L_0) = \frac{EdL}{L_0}$$which is your first equation. So I think they were just being sloppy using a differential ##dL## when they should have used ##\Delta L## :smile:
But the continuous and discrete forms are different in principle, no? It could be that Y varies somewhat with strain.
 
  • Like
Likes   Reactions: etotheipi
You're probably right, I really don't know very much about this :wink:! To me it seems like the equations in the OP should be ##Y = \frac{L_0}{A} \frac{\partial F}{\partial L}## and ##\frac{F}{A} = \frac{E\Delta L}{L_0}##. I hadn't thought about having a variable Young's modulus. I'm tempted to tag @Chestermiller to see what he thinks!
 
Last edited by a moderator:
If u(x) is the displacement at material location x along a rod under axial loading F, in terms of Young's modulus, $$F=AY\frac{du}{d x}$$This applies if Y varies with x. If Y is a constant, so that the deformation is homogeneous and u is zero at x =0, then, at x = L, ##u(L)=\Delta L##, and the equation integrates to $$F=AY\frac{\Delta L}{L}$$
 
  • Like
Likes   Reactions: etotheipi
LCSphysicist said:
I just found a definition to the Young modulus as:
1598374247764.png

I wondered, do you have a reference for this @LCSphysicist? I thought about it for a little longer but I couldn't make sense of it. But maybe context would help?
 
etotheipi said:
I wondered, do you have a reference for this @LCSphysicist? I thought about it for a little longer but I couldn't make sense of it. But maybe context would help?
Oh, yes i have :) i will post a example using it, if it helps:

Imagine a wire, stuck on both ends, in such way that it length remains constant, the initial tension on the wire is F. If we cooled the wire, how much increase the tension?

Ans:

We can suppose the tension is function of the temperature and length, so
F = f(T,L)

1598375847350.png

1598375869668.png
(1)
But we know that:

1598375914493.png

and
1598376200505.png

not only, we know too:
1598376219652.png

So
1598376251610.png

Now, returning to the differential equation (1)

1598376282385.png

would be the answer, if we suppose A, α and Y approximately constant.

At least to me, if Y satisfy the condition, it makes sense.

Reviewing now, maybe Y was adjust only to this type of question. Anyway, the doubt arise if we can generalize Y as
1598375914493.png
or not.
 

Attachments

  • 1598376029277.png
    1598376029277.png
    515 bytes · Views: 204
  • Like
Likes   Reactions: etotheipi
LCSphysicist said:
Oh, yes i have :) i will post a example using it, if it helps:

If you don't mind me asking, which textbook is this? Your example makes use of the fact in question but it would be interesting to see where it comes from. :smile:
 
  • #10
etotheipi said:
If you don't mind me asking, which textbook is this? Your example makes use of the fact in question but it would be interesting to see where it comes from. :smile:
Finn's thermal physics :)
Read this book, i am really liking it, as he construct the things by a logic sequence.
 
  • Like
Likes   Reactions: etotheipi
  • #11
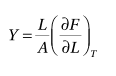
Okay, I think this is it. There are two different definitions of strain, true strain ##\tilde{\varepsilon}## defined by ##d\tilde{\varepsilon} = \frac{dL}{L} \implies \tilde{\varepsilon} = \ln{(1+\frac{\Delta L}{L})} = \ln{(1+\varepsilon)}##, and also the engineering strain, which is defined by the more familiar relation ##d\varepsilon = \frac{dL}{L_0} \implies \varepsilon = \frac{\Delta L}{L_0} = \frac{L-L_0}{L_0}##. The engineering strain is much more common, and is used in the definition of the Young modulus ##\sigma = Y\varepsilon##. But for infinitesimal strains, ##\tilde{\varepsilon} \approx \varepsilon## and the Young modulus is$$Y = \underbrace{\frac{L_0}{A} \left( \frac{\partial F}{\partial L} \right)_T}_{\text{w/ engineering strain}} \approx \underbrace{\frac{L}{A} \left( \frac{\partial F}{\partial L} \right)_T}_{\text{w/ true strain}}$$So I believe the equation quoted in Finn is valid as an approximation in the limit of small strains.
 
Last edited by a moderator:
  • Like
Likes   Reactions: LCSphysicist
  • #12
etotheipi said:
Okay, I think this is it. There are two different definitions of strain, true strain ##\tilde{\varepsilon}## defined by ##d\tilde{\varepsilon} = \frac{dL}{L} \implies \tilde{\varepsilon} = \ln{(1+\frac{\Delta L}{L})} = \ln{(1+\varepsilon)}##, and also the engineering strain, which is defined by the more familiar relation ##d\varepsilon = \frac{dL}{L_0} \implies \varepsilon = \frac{\Delta L}{L_0} = \frac{L-L_0}{L_0}##. The engineering strain is much more common, and is used in the definition of the Young modulus ##\sigma = Y\varepsilon##. But for infinitesimal strains, ##\tilde{\varepsilon} \approx \varepsilon## and the Young modulus is$$Y = \underbrace{\frac{L_0}{A} \left( \frac{\partial F}{\partial L} \right)_T}_{\text{w/ engineering strain}} \approx \underbrace{\frac{L}{A} \left( \frac{\partial F}{\partial L} \right)_T}_{\text{w/ true strain}}$$So I believe the equation quoted in Finn is valid as an approximation in the limit of small strains.
That's certainly true, since at large strains, Young's modulus is not constant for any strain measure, and does not apply in large 3D deformations.
 
  • Like
Likes   Reactions: etotheipi
  • #13
The difference between OP's two definitions is the difference between the tangent modulus and the secant modulus. The former is the slope of the tangent to the stress-strain curve at a given point; the latter is the slope of the line joining that point to the origin. That is, the former is the differential increase of stress with strain, the latter is total stress/total strain. The two are different if the stress-strain curve is non-linear. See diagram.
moduli.png
 
  • Like
Likes   Reactions: etotheipi
  • #14
mjc123 said:
The difference between OP's two definitions is the difference between the tangent modulus and the secant modulus
AS I wrote in post #2, that is possibly the difference in intent, but the second as written is not valid. Which modulus is intended depends on how one corrects it.
 
  • Like
Likes   Reactions: etotheipi
  • #15
haruspex said:
AS I wrote in post #2, that is possibly the difference in intent, but the second as written is not valid. Which modulus is intended depends on how one corrects it.

Agreed. For that second equation, there are a few viable alternatives. Equation of differentials with the two types of strain, $$\frac{dF}{A} = \frac{Y dL}{L_0}$$ $$\frac{dF}{A} \approx \frac{Y dL}{L}$$ Equation of non-infinitesimals with two types of strain $$\frac{F}{A} = \frac{Y\Delta L}{L_0}$$ $$\frac{F}{A} \approx Y \ln{ \left( 1+\frac{\Delta L}{L_0} \right)}$$I don't know what was intended, but you're right that at the moment the second equation is incorrect.
 

Similar threads

  • · Replies 5 ·
Replies
5
Views
2K
Replies
18
Views
2K
  • · Replies 29 ·
Replies
29
Views
8K
  • · Replies 17 ·
Replies
17
Views
4K
  • · Replies 7 ·
Replies
7
Views
5K
  • · Replies 1 ·
Replies
1
Views
2K
Replies
1
Views
2K
  • · Replies 3 ·
Replies
3
Views
2K
  • · Replies 3 ·
Replies
3
Views
2K
Replies
3
Views
3K