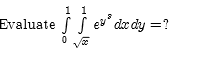
Evaluate some kind of gamma function

Click For Summary
SUMMARY

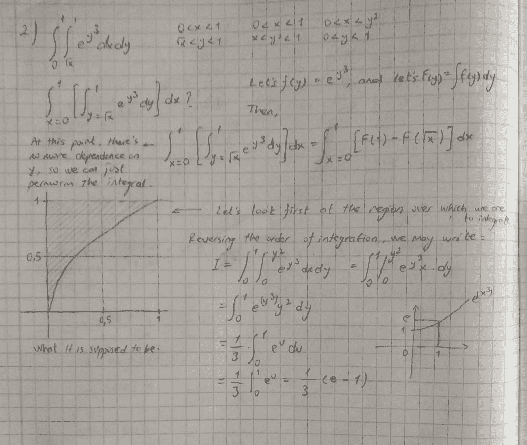
The discussion centers on evaluating the gamma function through two integrals: $\int_0^1\int_{\sqrt{x}}^1e^{y^y} dxdy$ and $\int_0^1\int_{\sqrt{x}}^1e^{y^3} dydx$. The first integral is deemed nonsensical due to the lower bound being a function of x, leading to a result that retains x. In contrast, the second integral is simplified by changing the order of integration, resulting in $\int_0^1 y^2e^{y^3}dy$, which is significantly easier to compute.

PREREQUISITES
  • Understanding of double integrals in calculus
  • Familiarity with changing the order of integration
  • Knowledge of exponential functions and their properties
  • Basic concepts of gamma functions and their applications
NEXT STEPS
  • Study techniques for changing the order of integration in double integrals
  • Learn about the properties and applications of gamma functions
  • Explore integration techniques for exponential functions
  • Practice solving complex double integrals with varying limits
USEFUL FOR

Mathematicians, calculus students, and anyone interested in advanced integration techniques and gamma function applications.

ozgunozgur
Messages
27
Reaction score
0
My question and solution that I've tried out are in attachment. Is it true my steps?
 

Attachments

  • que.png
    que.png
    745 bytes · Views: 122
  • sol.png
    sol.png
    197.9 KB · Views: 135
Physics news on Phys.org
I am puzzled that you post the problem as $\int_0^1\int_{\sqrt{x}}^1e^{y^y} dxdy$, which makes no sense to me but do it as $\int_0^1\int_{\sqrt{x}}^1e^{y^3} dydx$ which does make sense and is far easier! Which is it?

The first integral makes no sense because the integral with respect to x has a function of x as the lower bound so that, even after the first integral, you will have a function of both x and y and after integrating with respect to y you will still have a function of x instead of a number.

And the second integral is far easier because $e^{y^y}$ is a horrendous function to integrate while $e^{y^3}$ is much easier!

To integrate $\int_0^1\int_{\sqrt{x}}^1e^{y^3} dydx$, I would first change the order of integration. The integral, taking x from 0 to 1 and, for each x, y from $\sqrt{x}$ to 1, is the portion of the square $0\le x\le 1$, $0\le y\le 1$, above the graph of $y= \sqrt{x}$. That is also the portion to the right of $x= y^2$ so the integral is $\int_0^1\int_0^{y^2} e^{y^3}dxdy$. There is no "x" in the integrand so the first integral just results in $\int_0^1 y^2e^{y^3}dy$ which is easy.
 
Last edited:

Similar threads

  • · Replies 1 ·
Replies
1
Views
2K
  • · Replies 3 ·
Replies
3
Views
2K
  • · Replies 9 ·
Replies
9
Views
4K
  • · Replies 1 ·
Replies
1
Views
2K
  • · Replies 17 ·
Replies
17
Views
8K
  • · Replies 6 ·
Replies
6
Views
1K
  • · Replies 2 ·
Replies
2
Views
3K
  • · Replies 1 ·
Replies
1
Views
1K
  • · Replies 3 ·
Replies
3
Views
2K
  • · Replies 3 ·
Replies
3
Views
5K