Evaluate the Improper integral [4,13] 1/(x-5)^(1/3)

Click For Summary
SUMMARY

The discussion centers on evaluating the improper integral from 4 to 13 of the function 1/(x-5)^(1/3). The integral is split into two parts due to the discontinuity at x=5, with limits approaching 5 from both sides. The user successfully applies u-substitution to transform the integrals but encounters confusion regarding the evaluation of (-1)^(2/3), which is clarified as being equal to 1. This resolution confirms that the integral can be properly evaluated despite the initial uncertainty.

PREREQUISITES
  • Understanding of improper integrals and their evaluation
  • Familiarity with u-substitution in integration
  • Knowledge of limits and continuity in calculus
  • Basic properties of exponents and roots
NEXT STEPS
  • Study the properties of improper integrals in calculus
  • Learn advanced techniques for u-substitution in integration
  • Explore the concept of limits approaching discontinuities
  • Review the properties of fractional exponents and their evaluations
USEFUL FOR

Students and educators in calculus, particularly those focusing on integration techniques and improper integrals, as well as anyone seeking to clarify concepts related to discontinuities in functions.

ThatOneGuy
Messages
3
Reaction score
0

Homework Statement



Evaluate the Improper integral [4,13] 1/(x-5)1/3

Homework Equations



N/A

The Attempt at a Solution


IMG_3094.JPG

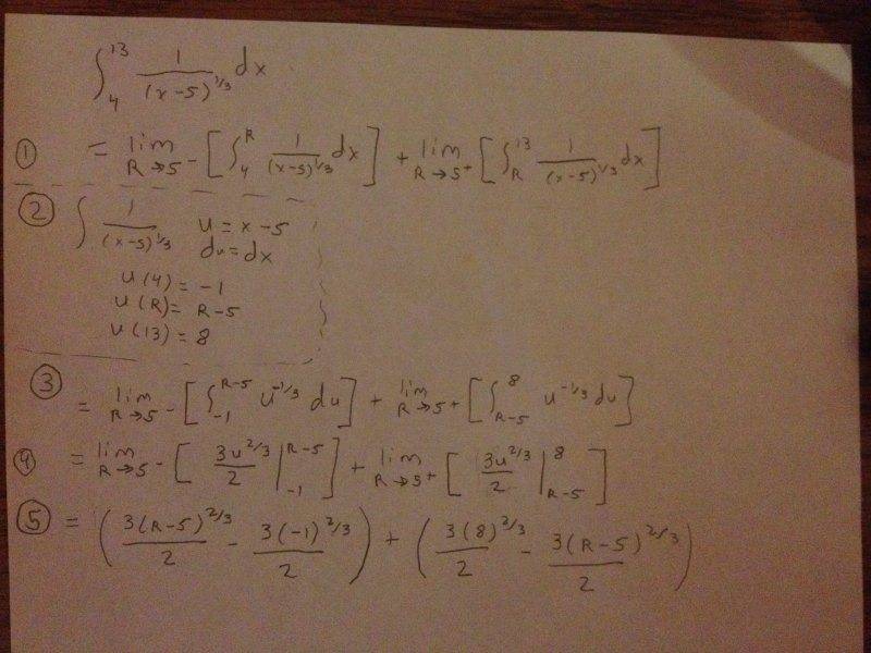
In step 1, I split the integral into two separate integrals because at x=5, it would be undefined. I made the first limit approach 5 from the left and the second limit approach five from the right.

For step 2, I did u substitution to prepare to integrate. Since I did the substitution, I plugged the old intervals into u = x - 5 to get the new ones.

For step 3, I rewrote both integrals in terms of u du and brought the u^(1/3) from the denominator to the numerator for easier integration. I also added the new intervals in.

In step 4, I integrated both integrals.

Step 5 is where I'm not sure what to do. I plugged in the values and that is what I ended up with but in the first parentheses, the second value has a (-1)2/3 which is undefined. The (R-5)'s will equal 0 and cancel those fractions out but I don't know how to handle the (-1)2/3.
 
Physics news on Phys.org
ThatOneGuy said:

Homework Statement



Evaluate the Improper integral [4,13] 1/(x-5)1/3

Homework Equations



N/A

The Attempt at a Solution


View attachment 81908
In step 1, I split the integral into two separate integrals because at x=5, it would be undefined. I made the first limit approach 5 from the left and the second limit approach five from the right.

For step 2, I did u substitution to prepare to integrate. Since I did the substitution, I plugged the old intervals into u = x - 5 to get the new ones.

For step 3, I rewrote both integrals in terms of u du and brought the u^(1/3) from the denominator to the numerator for easier integration. I also added the new intervals in.

In step 4, I integrated both integrals.

Step 5 is where I'm not sure what to do. I plugged in the values and that is what I ended up with but in the first parentheses, the second value has a (-1)2/3 which is undefined. The (R-5)'s will equal 0 and cancel those fractions out but I don't know how to handle the (-1)2/3.
##(-1)^{2/3}## is defined -- its value is 1.

You can work with it either as ##[(-1)^2]^{1/3} = 1^{1/3} = 1## or as ##[(-1)^{1/3}]^2 = (-1)^2 = 1##.
 
  • Like
Likes   Reactions: ThatOneGuy

Similar threads

  • · Replies 7 ·
Replies
7
Views
2K
  • · Replies 3 ·
Replies
3
Views
2K
Replies
2
Views
1K
  • · Replies 13 ·
Replies
13
Views
4K
Replies
10
Views
2K
  • · Replies 12 ·
Replies
12
Views
2K
  • · Replies 16 ·
Replies
16
Views
2K
  • · Replies 10 ·
Replies
10
Views
2K
  • · Replies 6 ·
Replies
6
Views
2K
Replies
3
Views
2K