Express entropy density in terms of energy density (Ashcroft/Mermin)

Click For Summary

Homework Help Overview

The discussion revolves around expressing entropy density in terms of energy density, referencing concepts from thermodynamics. Participants are examining the relationship between entropy and energy as described in Ashcroft and Mermin's work, particularly focusing on the identity involving partial derivatives with respect to temperature.

Discussion Character

  • Conceptual clarification, Mathematical reasoning, Assumption checking

Approaches and Questions Raised

  • Participants explore integration techniques and the implications of integrating by parts. There are attempts to clarify the appearance of a factor of 1/2 in an integral, with some questioning the validity of the notation and the assumptions made regarding the dependencies of variables.

Discussion Status

The discussion is ongoing, with participants providing insights and questioning each other's reasoning. Some have expressed confusion over specific steps in the derivation, while others are attempting to reconcile different interpretations of the equations presented. There is no explicit consensus yet, but various lines of reasoning are being explored.

Contextual Notes

Participants note potential issues with the notation of partial derivatives and the assumptions regarding the constancy of certain variables during the derivation process. There is a recognition that the original formulation may lack clarity, leading to differing interpretations among participants.

EE18
Messages
112
Reaction score
13
Homework Statement
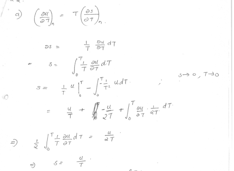
I am trying to solve Problem 2a in Chapter 2 of Ashcroft and Mermin. I'm not asking about the whole problem, but just the start. Essentially, one needs to expression the entropy density ##s## in terms of the energy density ##u## and, as far as I can tell from other methods to solving this problem, I should arrive at ##s(T) = u(T)/T##.
Relevant Equations
##s(T) = u(T)/T##
The starting point is the identity
$$\left(\frac{\partial u}{\partial T}\right)_n = T\left(\frac{\partial s}{\partial T}\right)_n.$$
I then try to proceed as follows:
Integrating both with respect to ##T## after dividing through by ##T##, we find
$$ \int_0^T \left(\frac{\partial s}{\partial T'}\right)_n = s(T) - s(0) = s(T) $$
$$ = \int_0^T \frac{1}{T'}\left(\frac{\partial u}{\partial T'}\right)_n = \frac{u}{T'}\biggr\rvert_0^T + \int_0^T \frac{1}{T'^2}u ...$$
where we have used an integration by parts, the fundamental theorem of calculus, and the third law of thermodynamics (in (1)), and where we recall that $u_0$ is the energy density in the ground state (see AM (2.79)).

But I can't seem to go any further. I found a solution which does something I totally can't understand in the last line, and I'm hoping someone can either clarify that solution and/or show me how to go further. The problem is obviously the last integral on the right-hand side.
 

Attachments

  • FullSol.png
    FullSol.png
    27.2 KB · Views: 170
Last edited:
Physics news on Phys.org
EE18 said:
I found a solution which does something I totally can't understand in the last line, and I'm hoping someone can either clarify that solution and/or show me how to go further. The problem is obviously the last integral on the right-hand side.
Compare to the line ##s=\ldots##: you have the same integral on the RHS (with a factor 1/2), so you can combine the integrals together:
$$
\int \ldots = x + \frac{1}{2} \int \ldots
$$
so
$$
\frac{1}{2} \int \ldots = x
$$
 
DrClaude said:
Compare to the line ##s=\ldots##: you have the same integral on the RHS (with a factor 1/2), so you can combine the integrals together:
$$
\int \ldots = x + \frac{1}{2} \int \ldots
$$
so
$$
\frac{1}{2} \int \ldots = x
$$
Thanks for helping out! Where is that factor of ##1/2## coming from though?
 
EE18 said:
Thanks for helping out! Where is that factor of ##1/2## coming from though?
From the integration by parts (integral of ##T^{-2} dT##).

Edit: To be clear, I moved the factor in front of the integral, but it appears in ##1/2T## in the image you posted.
 
DrClaude said:
From the integration by parts (integral of ##T^{-2} dT##).

Edit: To be clear, I moved the factor in front of the integral, but it appears in ##1/2T## in the image you posted.
Maybe I'm going crazy, but isn't ##-\int 1/x^2 dx = 1/x##? I don't see where the 1/2 comes from?
 
  • Like
Likes   Reactions: DrClaude and vanhees71
Of course!
 
  • Like
Likes   Reactions: DrClaude
Sorry, I was sloppy when I tried to reproduce what was is the image. I can't make sense of it now.
 
  • Like
Likes   Reactions: vanhees71
DrClaude said:
Sorry, I was sloppy when I tried to reproduce what was is the image. I can't make sense of it now.
I begin to think that image is rubbish. It's essentially doing 2 successive integrations by parts (the 2nd one incorrectly, imho). When done correctly, it should just return (uselessly) to its starting point.

Btw, since at least one other variable is being held constant, maybe you just treat the first line as if it were $$ \frac{du}{dT} ~=~ T \; \frac{dS}{dT} ~,~~~~~~ \Rightarrow~~~
du ~=~ T dS ~.$$Of course, you've got to be careful about what depends on what, and what's being held constant.
 
  • Like
Likes   Reactions: PhDeezNutz, DrClaude and vanhees71
I think the authors were lazy in their notation of partial derivatives.

You were given the following.

##\left(\frac{\partial U}{\partial T} \right)_n = T \left( \frac{\partial S}{\partial T} \right)_n##

It should read (I think)

$$\left(\frac{\partial U}{\partial T} \right)_{n,total} = T \left( \frac{\partial S}{\partial T} \right)_{n,total}$$

$$U\left(S\left(U,T\right), T\right)$$

$$S\left(U\left(S,T\right), T\right)$$

There are more than one way that ##U## or ##S## depend on T

$$\left( \frac{\partial U}{\partial T} \right)_{n,total} = \frac{\partial U}{\partial S} \left(\frac{\partial S}{\partial T} \right)_{n,direct} + \left(\frac{\partial U}{\partial T} \right)_{n,direct}$$

$$T\left( \frac{\partial S}{\partial T} \right)_{n,total} = T \frac{\partial S}{\partial U} \left(\frac{\partial U}{\partial T} \right)_{n,direct} + T\left(\frac{\partial S}{\partial T} \right)_{n,direct}$$

Setting them equal

$$\frac{\partial U}{\partial S} \left(\frac{\partial S}{\partial T} \right)_{n,direct} + \left(\frac{\partial U}{\partial T} \right)_{n,direct} = T \frac{\partial S}{\partial U} \left(\frac{\partial U}{\partial T} \right)_{n,direct} + T\left(\frac{\partial S}{\partial T} \right)_{n,direct}$$

Comparing like terms

$$\frac{\partial U}{\partial S} = T \Rightarrow U = ST$$

$$T\frac{\partial S}{\partial U} = 1 \Rightarrow S = \frac{U}{T}$$

This is my take on it. I could be wrong of course. I know in principal there are more terms since ##n## might not be constant.
 

Similar threads

  • · Replies 3 ·
Replies
3
Views
2K
Replies
19
Views
3K
  • · Replies 1 ·
Replies
1
Views
3K
Replies
3
Views
3K
  • · Replies 5 ·
Replies
5
Views
3K
Replies
1
Views
2K
Replies
30
Views
5K
  • · Replies 1 ·
Replies
1
Views
2K
  • · Replies 3 ·
Replies
3
Views
2K
  • · Replies 6 ·
Replies
6
Views
3K