External Ballistics: Deriving Equations for Long-Range Shooting

  • Context: Graduate 
  • Thread starter Thread starter MechSoup
  • Start date Start date
  • Tags Tags
    Ballistics
Click For Summary
SUMMARY

This discussion focuses on deriving equations for long-range shooting, specifically addressing the effects of air resistance on projectile motion. The author initially explored simple projectile motion without air resistance but found it lacking in real-world applicability. They then examined the drag force's relationship to bullet velocity, referencing differential equations and the concept of the ballistic coefficient. Key questions raised include the validity of their assumptions, the role of the ballistic coefficient, and the potential incorporation of factors like Coriolis drift and wind effects into their formulas.

PREREQUISITES
  • Understanding of basic physics principles related to projectile motion
  • Familiarity with differential equations and their application in physics
  • Knowledge of the ballistic coefficient and its significance in ballistics
  • Awareness of external factors affecting projectile trajectories, such as wind and air density
NEXT STEPS
  • Research the derivation and application of the ballistic coefficient in long-range shooting
  • Study the effects of Coriolis drift on projectile motion in long-range scenarios
  • Learn about the mathematical modeling of drag forces on projectiles
  • Explore advanced topics in fluid dynamics related to air resistance and projectile shape
USEFUL FOR

Engineers, physicists, and shooting enthusiasts interested in the mathematical modeling of long-range shooting and the factors affecting projectile trajectories.

MechSoup
Messages
14
Reaction score
0
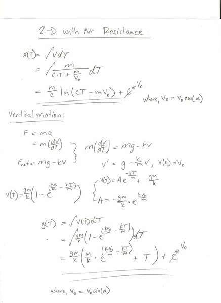
After watching the movie Shooter, my mind began to wonder how difficult it really is to make these “long-range” shots like they portrayed in the movie. Could it really be so easy? So I began thinking of how I could derive such formula’s. I, honestly, didn’t know much about the subject, however I thought I would take a stab at it.

My approach was to first look at the 2-Dimensional world where two perspectives would be observed: without air resistance, and with air resistance. The “without air resistance” part was simple projectile motion and did not yield anything of real world value, so I moved on. When it comes to air resistance things become much more difficult, and thus I had to make some basic assumptions about the relationship of the bullet velocity and the dreaded drag force. I read in a Differential Equations book that for small and slow moving objects the drag force was proportional to the objects velocity, where as, a large and fast moving objects drag force was proportional to the square of the objects velocity.

I began to think that the horizontal velocity of a bullet is relatively slow compared to it’s horizontal velocity (after a given amount a time this would be untrue, but I made the assumption that the bullet would hit the target before this happened) so I made an assumption that is displayed on the below pages.

So to get to the point, I derived some equations and have no idea if they sound reasonable. I really have no experience with the matter to make real world sense of this. This is where I need your help. These are my questions:

1) Does it make sense within the assumptions?
2) Is the constant of proportionality the Ballistic Coefficient?
3) To improve the formula, assuming it is valid, would the formula further hold to incorporate such things as, Coriolis Drift, Wind effects, Air density, ect?

I suppose I should mention that this is NOT a homework assignment. And
that throughout the problem wind effects, ect. were not considered.

Thanks.

NOTE: For the vertical motion equation, I flipped the positive and negative directions.
 

Attachments

  • 2-D(1).jpg
    2-D(1).jpg
    15.5 KB · Views: 388
  • 2-D(2).jpg
    2-D(2).jpg
    16.7 KB · Views: 564
Last edited:
Physics news on Phys.org
I recently spent a fair amount of time trying to write a mathematical expression to describe the trajectory of a projectile fired from a rifle without using the specific ballistic coefficient. My postulate was that using the simple wind load equation was the major contributor to drag. I'm a retired mechanical engineer and drag is fairly complex. I was going to incorporate the shape of the projectile as a coefficient in the calculation. The hurtle for me was writing the proper integral for handling jerk. From Bernoulli V^2=2*g*h and I used .078 pounds per cubic foot for air's density. I wasn't successful in my attempt to describe the ballistics of a given projectile mathematically without using the ballistic coefficient. It was fun while it lasted. I've all but given up in developing my postulate.
 

Similar threads

  • · Replies 3 ·
Replies
3
Views
9K
  • · Replies 23 ·
Replies
23
Views
4K
  • · Replies 10 ·
Replies
10
Views
3K
  • · Replies 2 ·
Replies
2
Views
1K
  • · Replies 16 ·
Replies
16
Views
4K
  • · Replies 40 ·
2
Replies
40
Views
8K
  • · Replies 2 ·
Replies
2
Views
15K
  • · Replies 11 ·
Replies
11
Views
4K
  • · Replies 19 ·
Replies
19
Views
5K
  • · Replies 22 ·
Replies
22
Views
2K