F of G function question - Square root inside a square root?

Click For Summary

Homework Help Overview

The discussion revolves around a function involving nested square roots, specifically the expression √(√2 - x) and its interpretation. Participants are trying to clarify the notation and understand the transformation of the expression.

Discussion Character

  • Conceptual clarification, Assumption checking

Approaches and Questions Raised

  • Participants are attempting to understand the correct notation for the square root expressions and how to manipulate them. There is confusion regarding the transition from one form of the expression to another, particularly between √(√2 - x) and √(√(2 - x).

Discussion Status

Some participants have pointed out notation errors and are engaging in clarifying the differences between the expressions. There is acknowledgment of the need for clearer notation, but the fundamental problem remains unresolved as participants continue to seek understanding.

Contextual Notes

Participants are discussing the implications of their notation choices and how these affect their understanding of the problem. There is an emphasis on the importance of using correct mathematical notation, particularly LaTeX, in conveying their thoughts.

nukeman
Messages
651
Reaction score
0

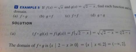
Homework Statement



The image has the question I don't quite understand!

sgri92.jpg

Homework Equations


The Attempt at a Solution



I understand how to get √(√2 - x) but I don't get how they end up with: 4√2 - x

?
 
Last edited:
Physics news on Phys.org
nukeman said:

Homework Statement



The image has the question I don't quite understand!

sgri92.jpg



Homework Equations





The Attempt at a Solution



I understand how to get √(√2 - x) but I don't get how they end up with: 4√2 - x
Your notation is incorrect. This is what you wrote:
$$ \sqrt{\sqrt{2} - x}$$

What you should have written is
$$ \sqrt{\sqrt{2-x}}$$

Without using LaTeX, as I did, you could have written √(√(2 - x))

Do you see the difference?
 
Mark44 said:
Your notation is incorrect. This is what you wrote:
$$ \sqrt{\sqrt{2} - x}$$

What you should have written is
$$ \sqrt{\sqrt{2-x}}$$

Without using LaTeX, as I did, you could have written √(√(2 - x))

Do you see the difference?

Ah yea, I see the difference. Gotta start writing in latex!

I still don't understand the problem as I pointed out in the picture. ?
 
Write the expression in exponent form rather than radical form.
 

Similar threads

  • · Replies 21 ·
Replies
21
Views
2K
Replies
6
Views
2K
  • · Replies 12 ·
Replies
12
Views
4K
  • · Replies 14 ·
Replies
14
Views
2K
  • · Replies 4 ·
Replies
4
Views
2K
  • · Replies 12 ·
Replies
12
Views
3K
  • · Replies 3 ·
Replies
3
Views
2K
  • · Replies 11 ·
Replies
11
Views
3K
Replies
3
Views
3K
  • · Replies 6 ·
Replies
6
Views
3K