Fairly basic algebra question - but it's bugging me now

Click For Summary

Homework Help Overview

The discussion revolves around a question related to linear interpolation and the manipulation of algebraic expressions, particularly focusing on the rearrangement of terms in equations involving gradients. The original poster expresses confusion about how certain expressions can be transformed during algebraic manipulation.

Discussion Character

  • Exploratory, Conceptual clarification, Mathematical reasoning

Approaches and Questions Raised

  • The original poster questions the validity of moving terms in a fraction and how expressions like (x2-x) can become (x-x2). Other participants engage by discussing the rules of algebraic manipulation, particularly regarding negative signs and their placement in fractions.

Discussion Status

The discussion is ongoing, with participants exploring different interpretations of algebraic rules. Some guidance has been offered regarding the movement of negative signs in fractions, but there is no explicit consensus on the original poster's confusion. The conversation remains open-ended with further questions being raised.

Contextual Notes

The original poster identifies as a mature student and expresses a desire for clarity on foundational algebraic concepts. There is mention of reliance on course materials, which may contain errors, adding to the complexity of the discussion.

kel
Messages
62
Reaction score
0
Hi,
I'm just going through some notes on linear interpolation, but this bit has got me confused - I think it's an easy work through on gradients etc, but my maths seems to be failing me (mature student here so go easy on me :shy: )

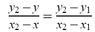
Ok here goes (see attached images - not sure about latex yet. A look at image 2 first, it just shows the gradient equation)

My question is: How can e.g. (x2-x) become (x-x2), I was always taught that when you move the lower part of a division/fraction to the other side of the equals sign, you don't change it! So, how does this work?

Is there some trick that occurs when you rearrange an equation or is there some maths rule that I was never taught.

I know this is probably a solve in 2 seconds type question, but it's starting to bug me now !

Cheer
Kel
 

Attachments

  • Image2.gif
    Image2.gif
    966 bytes · Views: 579
  • Image1.gif
    Image1.gif
    4.3 KB · Views: 660
Physics news on Phys.org
Do not post your questions in the tutorial section!
A mentor will move this thread to where it belongs.
 
Whoops! Sorry, forgot which area I was in. o:)

Please moderator (any one of you) please could you move this to the relevant area.

Thankyou!
 
kel said:
Hi,
I'm just going through some notes on linear interpolation, but this bit has got me confused - I think it's an easy work through on gradients etc, but my maths seems to be failing me (mature student here so go easy on me :shy: )

Ok here goes (see attached images - not sure about latex yet. A look at image 2 first, it just shows the gradient equation)

My question is: How can e.g. (x2-x) become (x-x2), I was always taught that when you move the lower part of a division/fraction to the other side of the equals sign, you don't change it! So, how does this work?

Is there some trick that occurs when you rearrange an equation or is there some maths rule that I was never taught.
Well, there is NO (x2-x) that becomes (x-x2)! You mean "How can (x2-x1) become (x1-x2).
You have
[tex]y= \frac{y_2-y_1}{x_2-x_1}(x- x_1)+ y_2[/tex]
and it becomes
[tex]y= y_1\frac{x-x_1}{x_1-x_2}+ y_2\frac{x-x_1}{x_2-x_1}[/tex]
Actually that is wrong but not because of the switch of (x2-x1) to (x1-x2).
What you do have is
[tex]\frac{y_2-y_1}{x_2-x_1}(x- x_1)= y2\frac{x-x_1}{x_2-x_1}- y_1\frac{x-x_1}{x_2-x_1}[/itex]<br /> Do you see that it is <b>negative</b> y<sub>1</sub> times the fraction? Take that negative into the denominator of the fraction:<br /> [tex]-y_1\frac{x-x_1}{x_2-x_1}= y_1\frac{x-x_1}{x_1-x_2}[/tex]<br /> <br /> What <b>is</b> wrong is that the last "y<sub>2[/sup]" has been dropped! did you mean <br /> [tex]y- y_2= y_1\frac{x-x_1}{x_1-x_2}+ y_2\frac{x-x_1}{x_2-x_1}[/tex]<br /> [tex]y- y_2= y_1A_1(x)+ y_2A_2(x)[/tex]?<br /> <br /> <br /> <blockquote data-attributes="" data-quote="" data-source="" class="bbCodeBlock bbCodeBlock--expandable bbCodeBlock--quote js-expandWatch"> <div class="bbCodeBlock-content"> <div class="bbCodeBlock-expandContent js-expandContent "> I know this is probably a solve in 2 seconds type question, but it's starting to bug me now ! <br /> <br /> Cheer<br /> Kel </div> </div> </blockquote></sub>[/tex]
 
Actually, I just lifted it straight from the course text (pdf file). So any errors will be in the original teaching notes.

Cheers
kel
 
So basically I can take the minus sign down to the denominator, but then I have to switch the numbers in the demominator to keep the value of the overall multiplication the same ie -2(1/3-1) = 2(1/1-3), I worked these both to be -1, so I guess it works.

Can I also ask, how does this work when you have a long denominator ie -2(1/(2+3-5)*2) can you still move the minus sign down? do I just have to change the +'s to -'s or would I have to rearrange.

Thanks again
Kel
 
kel said:
So basically I can take the minus sign down to the denominator, but then I have to switch the numbers in the demominator to keep the value of the overall multiplication the same ie -2(1/3-1) = 2(1/1-3), I worked these both to be -1, so I guess it works.

Can I also ask, how does this work when you have a long denominator ie -2(1/(2+3-5)*2) can you still move the minus sign down? do I just have to change the +'s to -'s or would I have to rearrange.

Thanks again
Kel
You can "move" a minus sign wherever you want:
[tex]-\frac{a}{b}= \frac{-a}{b}= \frac{a}{-b}[/tex]
In the example you give
[tex]-2\frac{1}{(2+ 3-5)^2}= \frac{2}{-(2+3-5)^2}= \frac{-2}{(2+3-5)^2}[/itex]<br /> Of course, sinced 2+3-5= 0 that fraction doesn't exist wherever the "-" is! (Were you trying to catch me?)[/tex]
 
Nope, just made that question up on the spot.

Thanks for your help
Kel
 

Similar threads

  • · Replies 4 ·
Replies
4
Views
2K
  • · Replies 16 ·
Replies
16
Views
3K
  • · Replies 11 ·
Replies
11
Views
3K
  • · Replies 5 ·
Replies
5
Views
10K
  • · Replies 13 ·
Replies
13
Views
2K
  • · Replies 31 ·
2
Replies
31
Views
3K
  • · Replies 13 ·
Replies
13
Views
4K
  • · Replies 13 ·
Replies
13
Views
12K
  • · Replies 1 ·
Replies
1
Views
2K
  • · Replies 11 ·
Replies
11
Views
3K