Falling object in a gravitational field with v^2 drag force

Click For Summary

Homework Help Overview

The discussion revolves around a particle in a gravitational field experiencing a drag force proportional to the square of its velocity. The original poster attempts to find the terminal velocity and the velocity expression for an object dropped from rest, but encounters discrepancies in their results compared to the expected outcomes.

Discussion Character

  • Exploratory, Mathematical reasoning, Assumption checking

Approaches and Questions Raised

  • Participants discuss the calculation of terminal velocity and the integration process involved in deriving the velocity expression. Questions arise regarding the correctness of integrals and the asymptotic behavior of the solutions.

Discussion Status

Some participants express confidence in the original poster's solution, while others raise concerns about potential errors in integration. There is an ongoing exploration of different forms of the integral and their implications, with no explicit consensus reached on the correctness of the original poster's approach.

Contextual Notes

Participants note that the problem statement may contain inaccuracies regarding the expected asymptotic behavior of the solution as time approaches infinity. The original poster has reached out to the professor for clarification on this matter.

Elvis 123456789
Messages
158
Reaction score
6

Homework Statement


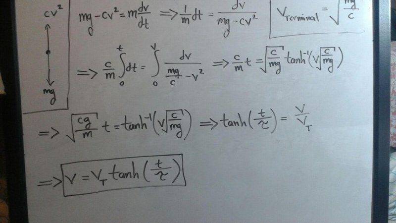
Consider a particle in a gravitational field that is also subject to a resisting force proportional to the velocity squared ( Fdrag = + or - cv2).
a) Find the terminal velocity, vT, for the object as it falls.

b) Show that for an object dropped from rest that the velocity is given by v = vTtanh-1(-t/β)
where β = sqrt( m/gc )

Homework Equations

The Attempt at a Solution


I did part a and got vT = sqrt( mg/c )
but for part b I am not getting the same result that is shown.
My work is shown in the attachment (the tau in the attachment is the β. I wrote it as β here because its hard to distinguish the t, T, and the tau on here)
 

Attachments

  • unnamed.jpg
    unnamed.jpg
    36.5 KB · Views: 499
Last edited:
Physics news on Phys.org
Your work looks correct to me. Note that your solution has the correct asymptotic behavior for t → ∞; but the answer stated in the problem does not.
 
Your integral with respect to v is not correct,
 
Last edited:
ehild said:
Your integral with respect to v is not correct,
I cannot spot the mistake. Do you mind pointing out where I went wrong?
 
ehild said:
How did you integrate ##\frac{dv}{\frac{mg}{c}-v^2}##?
I used an integral table for this which says that
int [ dx/(a2-x2)] = (1/a) * tanh-1 (x/a)

where a = sqrt (mg/c) and this is for x2 < a2 which is the case here
 
Elvis 123456789 said:
I used an integral table for this which says that
int [ dx/(a2-x2)] = (1/a) * tanh-1 (x/a)

where a = sqrt (mg/c) and this is for x2 < a2 which is the case here
To obtain this result, you can change integration variable from x to z, where tanh(z) = x/a.

If you do the integral by partial fractions using 1/(a2 - x2) = 1/(2a) * [ 1/(a + x) + 1/(a - x) ] , then you get the integral expressed in terms of a logarithm instead of tanh-1.
 
TSny said:
To obtain this result, you can change integration variable from x to z, where tanh(z) = x/a.

If you do the integral by partial fractions using 1/(a2 - x2) = 1/(2a) * [ 1/(a + x) + 1/(a - x) ] , then you get the integral expressed in terms of a logarithm instead of tanh-1.
Right, I was just trying to express it as was requested in the question details. I'm still wondering if I made an error though as ehild suggests?
 
I believe your solution is correct. I thought maybe ehild was thinking of the logarithmic form of the integral.
 
TSny said:
I believe your solution is correct. I thought maybe ehild was thinking of the logarithmic form of the integral.
Thanks for the help. The result shown in the problem description is definitely wrong for the incorrect asymptotic behavior that you pointed out as t -> infinity. I emailed the professor about this so he can let the class know just in case anybody else was scratching their heads.
 
  • #10
Elvis 123456789 said:
I cannot spot the mistake. Do you mind pointing out where I went wrong?
Sorry, I could not read your handwriting properly. Next time type in your derivation, please.
Your solution is correct. Yes, I thought of the logarithmic form of the integral, but the two forms are equivalent.
 

Similar threads

Replies
10
Views
2K
  • · Replies 31 ·
2
Replies
31
Views
4K
  • · Replies 11 ·
Replies
11
Views
3K
Replies
13
Views
3K
  • · Replies 7 ·
Replies
7
Views
7K
  • · Replies 15 ·
Replies
15
Views
2K
  • · Replies 9 ·
Replies
9
Views
2K
Replies
7
Views
3K
Replies
2
Views
3K
  • · Replies 13 ·
Replies
13
Views
5K