Field transformations in the z-direction

Click For Summary

Homework Help Overview

The discussion revolves around field transformations in the z-direction, specifically in the context of electromagnetic fields as described in Griffiths' textbook. Participants are exploring the implications of Lorentz transformations on electric and magnetic fields when configurations are altered.

Discussion Character

  • Exploratory, Conceptual clarification, Assumption checking

Approaches and Questions Raised

  • The original poster attempts to derive electric and magnetic fields for different configurations, referencing specific equations from Griffiths. Some participants question the correctness of the configurations and the assumptions made regarding the direction of boosts. Others suggest consulting additional resources like Purcell's book for further clarity.

Discussion Status

There is ongoing exploration of different configurations and their corresponding field transformations. Some participants have provided feedback on the transformations, indicating that the second solution may be more accurate. However, there is no explicit consensus on the correctness of the configurations or the transformations applied.

Contextual Notes

Participants note that the discussion is influenced by the original poster's understanding of the material and their familiarity with the relevant texts. There are references to specific configurations and equations, but some participants express uncertainty about their interpretations and the implications of their setups.

milkism
Messages
118
Reaction score
15
Homework Statement
Transformation rules fot the fields in a lorentz boost in the z-direction.
Relevant Equations
Look at attempt at a solution.
Question:
a92d04b1243ab6c9802934154fe4e0ae.png

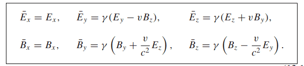
Eq. 12.109:
33868d705d5e28c81cc2daef8d6e588c.png

My solution:
We’ll first use the configuration from figure 12.35 in the book Griffiths. Where the only difference is
that v_0 is in the z-direction. The electric field in the y-direction will be the same.
925feeb890c8afb2e4c319557ca08444.png

$$E_y = \frac{\sigma}{\epsilon _0}$$
Now we're going to derive the general rule, following just like how it's done in the book Griffiths. The surface current will look like:
$$\mathbf{K_{\pm}}=\mp \sigma v_0 \hat{\mathbf{z}}$$
By the right-hand rule the field would point in the positive x direction, with the magnitude as:
$$B_x = \mu_0 \sigma v_0.$$
The third system $\overline{S}$, would ofcourse travel in the z direction instead of the x direction.
f7128b619f806d8bcb933a7831d4a6fb.png

af11917b4a0e08f22b686f0c05de4228.png

The fields will look like:
$$ \overline{E_y} = \frac{\overline{\sigma}}{\epsilon _0}$$
$$\overline{B_x} = \mu_0 \overline{\sigma} \overline{v_0}$$
Now we just need to express $\overline{\mathbf{E}}$ and $\overline{\mathbf{B}}$ in terms of $\mathbf{E}$ and $\mathbf{B}$.
We will use the same equations 12.98, 12.99, 12.101 and 12.102 to do the algebra because they didn't change.
$$\overline{E_y} = \gamma \left( E_y + vB_x \right)$$
$$\overline{B_x} = \gamma \left( B_x + \frac{v}{c^2}E_y \right)$$
To find $E_x$ and $B_y$, the configuration will be identical to figure 12.36.
385902a1c79e27be8458eb9a4e8b1d3a.png


The fields in $S$ will be as follows:
$$E_x = \frac{\sigma}{\epsilon_0}$$
$$B_y = \sigma \mu_0 v_0$$
The fields in $\overline{S}$ will look like:
$$\overline{E_x} = \gamma \left( E_x + vB_y \right)$$
$$\overline{B_y} = \gamma \left( B_y + \frac{v}{c^2}E_x \right)$$
For the z component of the electric fields will be same and for the magnetic will also be the same, if we take a solenoid parallel to the z-axis.
d8daac75f9e635809bf16b6a26712202.png
But the solenoid being on the z-axis.
$$\overline{B_z} = B_z$$
$$\overline{E_z} = E_z$$
I'm not exactly sure if I'm right, because it all depends if your configuration is correct.
 
Physics news on Phys.org
Trying reading Purcell's as a complement. It uses SR to introduce E&M.
 
Last edited by a moderator:
ChiralSuperfields said:
Trying reading Purcell's as a complement. It uses SR to introduce E&M.
Can't find anything about field transformations in his book, can you point out what I did wrong?
 
Okay I have tried to do it with different configurations.
New solution:
1680354446217.jpeg

At configuration 1 (top configuration), I concluded the following:
$$E_y = \frac{\sigma}{\epsilon _0}$$
$$\mathbf{K_{\pm}} = \pm \sigma v_0 \mathbf{\hat{z}}$$
$$B_x = -\mu _0 \sigma v_0$$
$$\overline{E_y} = \gamma \left( E_y - vB_x \right)$$
$$\overline{B_x} = \gamma \left( B_x - \frac{v}{c^2} E_y \right)$$
At configuration 2 (middle left), I concluded the following:
$$\overline{E_z}=E_z$$
At configuration 3 (bottom left), I concluded the following:
$$\overline{B_z} = B_z$$
At configuration 4 (bottom right), I concluded the following:
$$E_x = \frac{\sigma}{\epsilon_0}$$
$$B_y = \mu _0 \sigma v_0$$
$$\overline{E_x} = \gamma \left( E_x + vB_y \right)$$
$$\overline{B_y} = \gamma \left( B_y + \frac{v}{c^2} E_x \right)$$

Personal questions:
Since in griffiths they have boosted at a negative x directio, should I also have boosted in a negative z direction?
I think my second solution is more correct than my first one.
 
milkism said:
Can't find anything about field transformations in his book, can you point out what I did wrong?
Sorry I have only read a bit of purcell's so I am not up to that level yet.
 
The transformations in the second solution are correct, but indeed you should have moved the capacitor in the negative z-direction because this corresponds to you moving in the positive z-direction relative to the rest of space and thus a positive boost in the z-direction.
 
Note: this just means changing the sign in front of v.
 

Similar threads

Replies
1
Views
2K
  • · Replies 12 ·
Replies
12
Views
2K
  • · Replies 15 ·
Replies
15
Views
2K
  • · Replies 9 ·
Replies
9
Views
2K
Replies
1
Views
2K
  • · Replies 59 ·
2
Replies
59
Views
8K
  • · Replies 18 ·
Replies
18
Views
3K
  • · Replies 4 ·
Replies
4
Views
2K
  • · Replies 2 ·
Replies
2
Views
2K
Replies
3
Views
2K