Find Displacement Vector & Noted \hat{r}=r\hat{e}_{\theta}: Explained in Detail

  • Thread starter Thread starter athrun200
  • Start date Start date
  • Tags Tags
    Motion
Click For Summary
SUMMARY

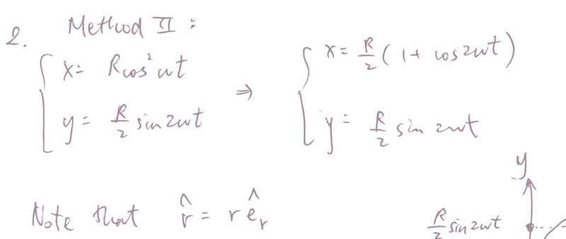
The discussion centers on the correct notation of the displacement vector in polar coordinates, specifically addressing the equation \(\hat{r} = r\hat{e}_{r}\). A participant clarifies that the original query misquoted the solution, which states that the unit vector \(\hat{r}\) is equivalent to the scalar \(r\) multiplied by the unit vector \(\hat{e}_{r}\). This notation indicates that the magnitude of the unit vector \(\hat{r}\) is 1, while \(r\) represents the distance from the origin.

PREREQUISITES
  • Understanding of polar coordinates and vector notation
  • Familiarity with unit vectors and their significance in physics
  • Basic knowledge of scalar and vector quantities
  • Proficiency in interpreting mathematical notation in physics
NEXT STEPS
  • Study the properties of unit vectors in different coordinate systems
  • Learn about vector decomposition in polar coordinates
  • Explore the significance of notation in physics, particularly in vector representation
  • Investigate the differences between scalar and vector quantities in physical equations
USEFUL FOR

Students of physics, particularly those studying mechanics and vector analysis, as well as educators looking to clarify vector notation in polar coordinates.

athrun200
Messages
275
Reaction score
0

Homework Statement


Before starting the question, we need to find the displacement vector first.
However, I get stuck here.

I would like to ask(in the solution) how to "noted" that [itex]\hat{r}[/itex]=r[itex]\hat{e}_{\theta}[/itex]?

Can you explain it in detail?

Homework Equations


The Attempt at a Solution

 

Attachments

  • 2.PNG
    2.PNG
    3.4 KB · Views: 477
  • 1.jpg
    1.jpg
    10.6 KB · Views: 529
Physics news on Phys.org
athrun200 said:
I would like to ask(in the solution) how to "noted" that [itex]\hat{r}[/itex]=r[itex]\hat{e}_{\theta}[/itex]?

Can you explain it in detail?
There is nothing to explain. You misquoted the solution. It says [itex]\hat{r}[/itex]=r[itex]\hat{e}_{r}[/itex]. In plain English it says "Vector r is the same as scalar r times a unit vector in the direction of r." I am not sure why there is a "hat" over r instead of an arrow thus making the magnitude r =1, but it is what it is.
 

Similar threads

  • · Replies 2 ·
Replies
2
Views
2K
  • · Replies 3 ·
Replies
3
Views
2K
  • · Replies 11 ·
Replies
11
Views
2K
Replies
3
Views
2K
Replies
16
Views
2K
  • · Replies 9 ·
Replies
9
Views
3K
Replies
5
Views
2K
Replies
5
Views
6K
  • · Replies 9 ·
Replies
9
Views
2K
  • · Replies 8 ·
Replies
8
Views
5K