Find points of inflection and state only the x values

  • Thread starter Thread starter angela107
  • Start date Start date
  • Tags Tags
    Points State
angela107
Messages
35
Reaction score
2
Homework Statement
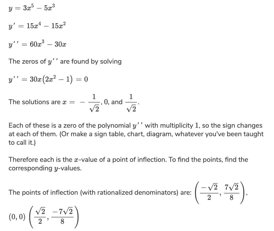
Given ##3x^5-5x^3##, find points of inflection and state only the x values.
Relevant Equations
n/a
Screen Shot 2020-05-28 at 11.53.04 AM.png

Since the answer wants x values only, will my answer be ##x=-\frac{1}{\sqrt{2}}, 0, and \frac{1}{\sqrt{2}}##?
 
Physics news on Phys.org
Yes.
 

Similar threads

Replies
1
Views
1K
Replies
5
Views
2K
  • · Replies 20 ·
Replies
20
Views
1K
  • · Replies 105 ·
4
Replies
105
Views
12K
Replies
4
Views
3K
Replies
7
Views
2K
Replies
3
Views
2K
  • · Replies 2 ·
Replies
2
Views
2K
  • · Replies 18 ·
Replies
18
Views
2K
  • · Replies 4 ·
Replies
4
Views
1K