Find the derivative using implicit differentiation (with inverse trig functions)

Click For Summary
SUMMARY

The discussion focuses on finding the derivative using implicit differentiation, specifically involving inverse trigonometric functions. The key equation derived is \( y' = \frac{y\sqrt{2-y^2}}{x^2y^2 + 1 - x\sqrt{2-y^2}} \). The participants clarify the steps to isolate \( y' \) and provide a structured approach to solving the linear equation formed during the differentiation process. The explanation emphasizes the importance of correctly identifying components \( A \), \( B \), and \( C \) in the equation.

PREREQUISITES
  • Understanding of implicit differentiation techniques
  • Familiarity with inverse trigonometric functions
  • Knowledge of linear equations in calculus
  • Proficiency in algebraic manipulation and simplification
NEXT STEPS
  • Study the application of implicit differentiation in various contexts
  • Learn about the properties and derivatives of inverse trigonometric functions
  • Explore linear equations and their solutions in calculus
  • Practice algebraic simplification techniques for complex derivatives
USEFUL FOR

Students and educators in calculus, mathematicians focusing on differentiation techniques, and anyone seeking to deepen their understanding of implicit differentiation involving inverse trigonometric functions.

Umar
Messages
36
Reaction score
0
Here is the question:

View attachment 6100

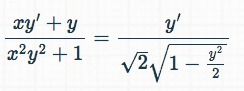
This is the step I came to after taking the derivatives and doing some simplification:

View attachment 6101

^ I did the work myself on paper, I just couldn't type out the whole thing clearly so that anyone else can see what I'm referring too... so I used some online tool to show that step.

Now, my main concern here is solving for y', or essentially, dy/dx. I have tried numerous ways, but the math gets too ugly.
If anyone could please give this a try as soon as possible, that would be extremely appreciated!
 

Attachments

  • Screen Shot 2016-10-17 at 9.29.54 PM.png
    Screen Shot 2016-10-17 at 9.29.54 PM.png
    1.6 KB · Views: 115
  • Screen Shot 2016-10-17 at 9.35.04 PM.png
    Screen Shot 2016-10-17 at 9.35.04 PM.png
    4.3 KB · Views: 125
Physics news on Phys.org
Hi Umar,

The denominator of the right hand side of your equation is $\sqrt{2-y^2}$ by the rule $\sqrt{a}\sqrt{b} = \sqrt{ab}$. The left hand side can be written

$$\frac{y}{x^2y^2 + 1} + \left(\frac{x}{x^2y^2 + 1}\right)y'$$

So you have a linear equation in the form $A + By' = Cy'$ where

$$A = \frac{y}{x^2y^2 + 1},\quad B = \frac{x}{x^2y^2 + 1},\quad \text{and}\quad C = \frac{1}{\sqrt{2-y^2}}$$

We have $A = Cy' - By'$, or $A = (C - B)y'$. Show that $$C - B = \frac{x^2y^2 + 1 - x\sqrt{2-y^2}}{(x^2y^2 + 1)\sqrt{2-y^2}}$$ and complete the steps to obtain

$$y' = \frac{y\sqrt{2-y^2}}{x^2y^2 + 1 - x\sqrt{2-y^2}}$$
 
Euge said:
Hi Umar,

The denominator of the right hand side of your equation is $\sqrt{2-y^2}$ by the rule $\sqrt{a}\sqrt{b} = \sqrt{ab}$. The left hand side can be written

$$\frac{y}{x^2y^2 + 1} + \left(\frac{x}{x^2y^2 + 1}\right)y'$$

So you have a linear equation in the form $A + By' = Cy'$ where

$$A = \frac{y}{x^2y^2 + 1},\quad B = \frac{x}{x^2y^2 + 1},\quad \text{and}\quad C = \frac{1}{\sqrt{2-y^2}}$$

We have $A = Cy' - By'$, or $A = (C - B)y'$. Show that $$C - B = \frac{x^2y^2 + 1 - x\sqrt{2-y^2}}{(x^2y^2 + 1)\sqrt{2-y^2}}$$ and complete the steps to obtain

$$y' = \frac{y\sqrt{2-y^2}}{x^2y^2 + 1 - x\sqrt{2-y^2}}$$

Wow! Thank you so much. You explained it with so much simplicity that it never really looked hard at all. Thank you!
 

Similar threads

  • · Replies 9 ·
Replies
9
Views
3K
  • · Replies 7 ·
Replies
7
Views
3K
  • · Replies 4 ·
Replies
4
Views
2K
  • · Replies 2 ·
Replies
2
Views
3K
  • · Replies 3 ·
Replies
3
Views
2K
  • · Replies 8 ·
Replies
8
Views
2K
  • · Replies 1 ·
Replies
1
Views
2K
  • · Replies 5 ·
Replies
5
Views
3K
  • · Replies 2 ·
Replies
2
Views
2K
  • · Replies 5 ·
Replies
5
Views
2K