Find the mass of iron used in the experiment.

Click For Summary

Discussion Overview

The discussion revolves around a homework problem involving the calculation of the mass of iron used in a reaction with sulfuric acid, based on the volume of hydrogen gas produced. Participants analyze the stoichiometric relationships in the balanced chemical equation and the application of the ideal gas law.

Discussion Character

  • Homework-related
  • Mathematical reasoning
  • Debate/contested

Main Points Raised

  • A participant presents the problem statement and their attempt at a solution, noting a discrepancy in the calculation of moles of hydrogen gas produced and the subsequent calculation of moles of iron.
  • Another participant emphasizes the importance of the stoichiometric ratio of iron to hydrogen, stating that the ratio is 2:3 and clarifying how to derive the moles of iron from the moles of hydrogen.
  • A participant questions their own calculations, asserting that they used the correct ratio but is seeking confirmation on their approach.
  • One participant suggests that there may be an error in the copied solution regarding the conversion of moles of hydrogen to moles of iron.
  • A later reply indicates that the original participant has understood the explanation and resolved their confusion.

Areas of Agreement / Disagreement

Participants express disagreement regarding the interpretation of the stoichiometric ratios and the calculations derived from them. The discussion remains unresolved as participants have differing views on the accuracy of the solution presented.

Contextual Notes

There are potential limitations in the clarity of the copied solution, and participants are working with assumptions about the accuracy of their calculations and the ratios involved.

s3a
Messages
828
Reaction score
8

Homework Statement


"A student reacts an unknown mass of iron (Fe) in an excess of sulfuric acid
(H2SO4). The balanced equation is:
2 Fe(s) + 3sH2SO4(aq) → Fe2(SO4)3(aq) + 3 H2(g)
She records the following data:
23.0°C
Temperature
Pressure 98.4 kPa
Volume of dry hydrogen collected 47.3 mL
Find the mass of iron used in the experiment."

Homework Equations


PV = nRT and a ratio.

The Attempt at a Solution


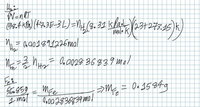
The solution says (the formatting was ruined when I pasted this and I tried to fix it so if anything is left ruined by accident, sorry):
" Given: T = 23.0°C + 273 = 296 K; V = 0.0473 L; P = 98.4 kPa;
R = 8.31 kPa⋅L/mol⋅K, we can calculate the number of moles of hydrogen gas
produced by the ideal gas equation: n = PV/RT
n = (98.4 kPa)(0.0473 L)/(8.31 kPa⋅L/mol⋅K)(296 K)
n = 1.89 x 10^(-3) mol of H2
From the balanced equation:
2 Fe(s) + 3H2SO4(aq) → Fe2(SO4)3(aq) + 3 H2(g) hydrogen and iron
are in a ratio of 3:2 moles. There must, therefore, be 2/3(1.91 x 10^(-3) mol) of Fe
present, that is, 1.26 x 10^(-3) mol of Fe. Since the molar mass of Fe is 55.85g/mol,
this represents 0.0705 g of Fe."

but I don't see how 1.89 x 10^(-3) mol becomes 1.91 x 10^(-3) mol nor do I see why the ratio is 2/3 of approximately the number of moles of H_2; I think it should be 3/2 of exactly the number of moles of H_2 as shown in my work.

My attempt is attached. I'm feeling that I'm correct but could someone please confirm if I am right and the solution is wrong or tell me why I am wrong if I am wrong?

Any input would be greatly appreciated!
Thanks in advance!
 

Attachments

  • MyWork.jpg
    MyWork.jpg
    64.4 KB · Views: 558
Last edited:
Physics news on Phys.org
You are asked how many moles of IRON, not hydrogen. You know that the ratio of Fe:H2 is 2:3 and you know the exact value of hydrogen.

2Fe:3H2 or 2/3 the amount of hydrogen. ie. 2/3Fe:1H2
 
Isn't that what I did?:

n_Fe = 3/2 * n_(H_2)

(as shown in my attached work.)
 
Seems like that its a mistake from where you have copied the solution. If you calculate the 2/3 of 1.89, you get 1.26.
 
Oh, I got it now. Thanks guys!
 

Similar threads

Replies
28
Views
4K
  • · Replies 3 ·
Replies
3
Views
2K
  • · Replies 2 ·
Replies
2
Views
7K
  • · Replies 2 ·
Replies
2
Views
2K
  • · Replies 2 ·
Replies
2
Views
3K
  • · Replies 2 ·
Replies
2
Views
5K
  • · Replies 9 ·
Replies
9
Views
17K
Replies
29
Views
22K
  • · Replies 1 ·
Replies
1
Views
28K
  • · Replies 3 ·
Replies
3
Views
4K