Find the time required for the current to grow to 2.5A....

  • Thread starter Thread starter IronaSona
  • Start date Start date
  • Tags Tags
    Current Time
Click For Summary

Homework Help Overview

The discussion revolves around determining the time required for the current in an RL circuit to reach 2.5A. The original poster mentions using LTspice for simulation and obtaining a time of approximately 174.38ms, but seeks to calculate it analytically instead.

Discussion Character

  • Exploratory, Conceptual clarification, Mathematical reasoning

Approaches and Questions Raised

  • Participants discuss the relevant equations for current growth in an RL circuit, including Kirchhoff's voltage rule and the relationship between voltage and current in inductors. There are questions about the correctness of the equations used and the meaning of variables within them.

Discussion Status

Participants are actively engaging with the problem, offering guidance on deriving equations and clarifying concepts. There is an emphasis on understanding the underlying principles rather than simply finding a solution. Some participants suggest using simulation tools to visualize the current growth.

Contextual Notes

There are mentions of homework rules requiring an attempt at a solution before receiving help. The original poster has not yet fully learned the differential equations related to the problem, which may affect their ability to calculate the time analytically.

IronaSona
Messages
38
Reaction score
7
Homework Statement
.
Relevant Equations
.
what is the equation on finding the ''The time required for the current to grow to ...Amps''

i was asked to find The time required for the current to grow to 2.5Amps ,and i found out that its some where around 174.38ms, using Ltspice, but i want to find it out by calculating it out.
 
Physics news on Phys.org
According to our rules, to get homework help, you need to post an attempt at a solution. Please state the problem, post any relevant diagrams and show your attempt.
 
kuruman said:
According to our rules, to get homework help, you need to post an attempt at a solution. Please state the problem, post any relevant diagrams and show your attempt.
Q)A coil having a resistance of 33Ω and an inductance of 3.3H is connected across a 100V d.c. supply. Plot a graph of the current as a function of time using LTspice.

a)The time required for the current to grow to 2.5A

i found that its around 174ms , but i also need to find it by calculating it ,but i don't know how .
 

Attachments

  • Capture.PNG
    Capture.PNG
    7 KB · Views: 144
There are two ways depending on how well you wish to understand this material.
The instructive way is to write down Kirchhoff's voltage rule for the circuit, derive a differential equation and solve it on your own.
The not at all instructive way is to look up the derivation and solution on the web (keyword "RL circuit") and apply it.
 
kuruman said:
There are two ways depending on how well you wish to understand this material.
The instructive way is to write down Kirchhoff's voltage rule for the circuit, derive a differential equation and solve it on your own.
The not at all instructive way is to look up the derivation and solution on the web (keyword "RL circuit") and apply it.
i also forgot to add , i have attempted to try it and i did 3.03(1-e^33/3.3) is that any where close ? or is this completely different equation just wanted to check
 
IronaSona said:
i also forgot to add , i have attempted to try it and i did 3.03(1-e^33/3.3) is that any where close ? or is this completely different equation just wanted to check
What is the symbolic equation that you are using to come up with that number? Have you learned the differential equation for the Voltage and Current relationship for an inductor?
 
berkeman said:
What is the symbolic equation that you are using to come up with that number? Have you learned the differential equation for the Voltage and Current relationship for an inductor?
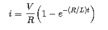
i=v/r(1-e^-(R/L)t) ,and i haven't learn the differential equation for the Voltage and Current yet
 
IronaSona said:
i=v/r(1-e^-(R/L)t)
That equation doesn't look right, but it's hard to tell with it not written in LaTeX (see the LaTeX Guide link at the lower left of the Edit window). And what is the diffference between r and R in that equation?

The equation relating voltage and current in an inductor is:

$$v(t) = L\frac{di(t)}{dt}$$

1619100674358.png

http://hyperphysics.phy-astr.gsu.edu/hbase/electric/induct.html
 
berkeman said:
berkeman said:
That equation doesn't look right, but it's hard to tell with it not written in LaTeX (see the LaTeX Guide link at the lower left of the Edit window). And what is the diffference between r and R in that equation?

The equation relating voltage and current in an inductor is:

$$v(t) = L\frac{di(t)}{dt}$$

View attachment 281873
http://hyperphysics.phy-astr.gsu.edu/hbase/electric/induct.html
so basically that's the formula I've used ,and when you say what is the difference between r and R in that equation what do you mean by that , sorry am kind of new to all the physics part ,

http://hyperphysics.phy-astr.gsu.edu/hbase/electric/induct.html
 

Attachments

  • Capture.PNG
    Capture.PNG
    370 bytes · Views: 134
  • #10
1619110786570.png


Ah, that's better. You were missing some parenthesis in your previous typed equation, and had mixed in r and R.

So that's a rising exponential plot, right? It starts with i(t) = 0 at t = 0, and rises quickly at first and more slowly and slowly as it approaches its final value of what?

BTW, in LaTeX it looks like this:

$$i(t) = \frac{v(t)}{R}(1-e^{\frac{-R}{L}t})$$

Which I did with this LaTeX code:
1619111108616.png
 
  • #11
Now can you generate a more correct plot and also solve the equation for the time to 2.5A to finish the problem? :smile:
 
  • #12
berkeman said:
and rises quickly at first and more slowly and slowly as it approaches its final value of what?
Its final value would be 3.03A because 100V/33R
 

Attachments

  • Capture.PNG
    Capture.PNG
    11.4 KB · Views: 144
Last edited by a moderator:
  • Like
Likes   Reactions: berkeman
  • #13
That looks a lot better! Can you use the simulator (does it have markers you can move along the waveform?) to answer the question about the time to 2.5A? And can you solve the exponential equation to verify that same time? :smile:
 
  • #14
berkeman said:
That looks a lot better! Can you use the simulator (does it have markers you can move along the waveform?) to answer the question about the time to 2.5A? And can you solve the exponential equation to verify that same time? :smile:
You get extra credit from PF if you show your work in LaTeX to get t at i(t) = 2.5A. :smile:
 
  • Like
Likes   Reactions: IronaSona and SammyS

Similar threads

  • · Replies 4 ·
Replies
4
Views
2K
  • · Replies 3 ·
Replies
3
Views
2K
  • · Replies 13 ·
Replies
13
Views
2K
  • · Replies 2 ·
Replies
2
Views
883
  • · Replies 9 ·
Replies
9
Views
2K
Replies
49
Views
7K
  • · Replies 23 ·
Replies
23
Views
6K
  • · Replies 5 ·
Replies
5
Views
2K
  • · Replies 8 ·
Replies
8
Views
2K
  • · Replies 12 ·
Replies
12
Views
3K